
Logarithm TheoremPythagorean TheoremCombinatoricsQuadratic EquationsSequence and Series Draft for Information Only
Content
Diagonal Matrices
Diagonal MatricesDiagonal MatricesA diagonal matrix is a square matrix with zeros off the principal diagonal and the elements on the principal diagonal may or may not be non-zero.
or
where
Properties of Diagonal Matrix
Power of Diagonal Matrix
Elements of the power of a diagonal matrix,
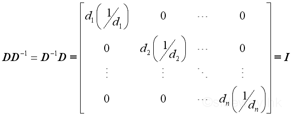
Inverse of Diagonal MatrixThe inverse of a diagonal matrix with all non-zero principal diagonal elements is also a diagonal matrix. The principle diagonal elements of the inverse equal to the reciprocals of the corresponding elements of the orginal matrix. Since
©sideway ID: 100800013 Last Updated: 8/15/2010 Revision: 0 Latest Updated Links
Nu Html Checker 53 na |
![]() Home 5 Business Management HBR 3 Information Recreation Hobbies 9 Culture Chinese 1097 English 339 Travel 44 Reference 79 Hardware 55 Computer Hardware 260 Software Application 213 Digitization 37 Latex 52 Manim 205 KB 1 Numeric 19 Programming Web 289 Unicode 504 HTML 66 CSS 65 SVG 46 ASP.NET 270 OS 431 DeskTop 7 Python 72 Knowledge Mathematics Formulas 8 Set 1 Logic 1 Algebra 84 Number Theory 206 Trigonometry 31 Geometry 34 Calculus 67 Engineering Tables 8 Mechanical Rigid Bodies Statics 92 Dynamics 37 Fluid 5 Control Acoustics 19 Natural Sciences Matter 1 Electric 27 Biology 1 |
Copyright © 2000-2026 Sideway . All rights reserved Disclaimers last modified on 06 September 2019