
Draft for Information Only 
Sound Transmission in two mediumsIn medium 1, when an ongoing harmonic wave strikes normally on the interface surface of medium 1 and medium, part of the incident sound energy is reflected back into the medium 1 and part of the incident sound energy is transmitted into the medium 2.  
The impedances of the mediums are: 
       The frequencies of three waves must be the same. For two different mediums, the speed of wave propagation will be different for the two medium, therefore the corresponding wave numbers are: 
       Assuming the three waves are harmonic plane waves in complex form imply The normal incident wave:  
    The reflected wave due to the hitting of normal incident wave on the medium interface at x=0:  
    The transmitted wave inside the medium 2 caused by the normal incident wave:  
Therefore the total acoustic pressure due to the incident wave and reflected wave in medium 1 can be expressed as  
And the total acoustic pressure due to the transmitted wave in medium 2 can be expressed as  
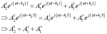
At the boundary, x =0 the waves of propagation are in equilibrium, therefore for all time, these waves must satisfies the boundary condition at all point on the boundary. Let 
        p1 be the total acoustic pressure at x=0 in medium 1
         Therefore, these waves should satisfy the two continuity conditions at the interface: 
 The particle velocities can be expressed in term of acoustic pressure, and get for incident wave along +x direction:  
for reflected wave along -x direction:  
for transmitted wave along +x direction:  
Therefore the velocity continuity equation can be expressed in term of acoustic pressure as  
Imply pressure continuity at x=0:  
Imply velocity continuity at x =0:  
    Pressure Reflection Coefficient Eliminating the amplitude of transmitted wave by substitute the pressure continuity into the velocity continuity, get:  
    By definition, the presssure ratio of the reflected wave over the incident wave is the pressure reflection coefficient, imply:  
    Pressure Transmission Coefficient Eliminating the amplitude of reflected wave by adding the pressure continuity to the velocity continuity, get:  
    By definition, the pressure ratio of the transmitted wave over the incident wave is the pressure transmission coefficient, imply:  
    From the pressure continuity, the transmitted coefficient can be expressed as:  
 
    Intensity At the medium interface, the intensity should be in equilibrium, imply  
   Therefore, the relationship between the reflection coefficient and transmission coefficient. imply  
    Intensity Reflection Coefficient By definition, the intensity reflection coefficient or the reflection coefficient is the ratio of reflected acoustic power over incident acoustic power  
   or  
     Intensity transmission Coefficient By definition, the intensity transmission coefficient or the transmission coefficient is the ratio of transmitted acoustic power over incident acoustic power  
         or  
 
   Absorption Coefficient By definition, the sound power absorption coefficient is defined as the ratio of acoustic power entering the medium interface over the sound power of incident wave  
 
   Impedance When z1=z2, ratio=1 imply R = 0, T=1, imply total transmission When z1<<z2, ratio=infinity. imply R = 1, T=2, imply total reflection with same amplitude and phase. The transmitted wave has a pressure amplitude twice the amplitude of incident wave. The normal particle velocity at the medium interface is zero and is so called rigid medium. When z1>>z2, ratio=0, imply R = -1, T=0, imply total transmission. The reflected wave is the same amplitude with the incident wave but 180degree out of phase. The transmitted wave therefore has zero pressure amplitude. The acoustic pressure at he medium interface is zero and is so called pressure release. Therefore impedance match is important on acoustic control. For example: Air to water: z1= 400; z2 = 1450000 kg/m.s, imply a=3625, R=0.9995,T=2; absorption=0.001. Only a small quantity of energy transmitted. Water to Air : z1= 1450000; z2 = 400 kg/m.s, imply a=2.75x10-4, R=-0.9995,T=0; absorption=0.001. In practice nearly no energy gets through, ©sideway ID: 101000017 Last Updated: 10/17/2010 Revision: 0 Ref: References 
 Latest Updated Links 
     Nu Html Checker  53  na  | 
    ![]() Home 5 Business Management HBR 3 Information Recreation Hobbies 8 Culture Chinese 1097 English 339 Travel 18 Reference 79 Hardware 27 Computer Hardware 259 Software Application 213 Digitization 37 Latex 52 Manim 205 KB 1 Numeric 19 Programming Web 289 Unicode 504 HTML 66 CSS 65 SVG 46 ASP.NET 270 OS 431 DeskTop 7 Python 72 Knowledge Mathematics Formulas 8 Set 1 Logic 1 Algebra 84 Number Theory 206 Trigonometry 31 Geometry 34 Calculus 67 Engineering Tables 8 Mechanical Rigid Bodies Statics 92 Dynamics 37 Fluid 5 Control Acoustics 19 Natural Sciences Matter 1 Electric 27 Biology 1  | 
Copyright © 2000-2025 Sideway . All rights reserved Disclaimers last modified on 06 September 2019