
TOC 1 Draft for Information Only 
Resultant Force The resultant force of concurrent forces in space can be represented by a force vector, R, in three dimensional space. 
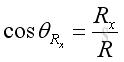
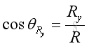
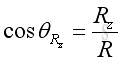
     The most practical way of determining the resultant force in space is to add up their rectangular components respectively: 
     Imply: 
     Therefore:  
    And similarly, the resultant force vector, R, can be expressed as: 
     Force Equilibrium According to Newton's first law of motion, when a particle is in equilibrium, the resultant of all the forces acting on it is zero. That is  
        And graphically in the form of force polygon, 
     ©sideway ID: 110400007 Last Updated: 5/28/2011 Revision: 1 Ref: References 
 Latest Updated Links 
     Nu Html Checker  53  na  | 
    ![]() Home 5 Business Management HBR 3 Information Recreation Hobbies 8 Culture Chinese 1097 English 339 Travel 18 Reference 79 Hardware 27 Computer Hardware 259 Software Application 213 Digitization 37 Latex 52 Manim 205 KB 1 Numeric 19 Programming Web 289 Unicode 504 HTML 66 CSS 65 SVG 46 ASP.NET 270 OS 431 DeskTop 7 Python 72 Knowledge Mathematics Formulas 8 Set 1 Logic 1 Algebra 84 Number Theory 206 Trigonometry 31 Geometry 34 Calculus 67 Engineering Tables 8 Mechanical Rigid Bodies Statics 92 Dynamics 37 Fluid 5 Control Acoustics 19 Natural Sciences Matter 1 Electric 27 Biology 1  | 
Copyright © 2000-2025 Sideway . All rights reserved Disclaimers last modified on 06 September 2019