
TOCForceMoment 1 Draft for Information Only 
    ContentCouple Decomposition
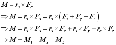
    Couple DecompositionForces in a couple can be decomposed also. Couple in space can therefore resolved into three couple components of forces, Fx , Fy and Fz without change its moment arm at the point of application. 
         Therefore, the moment M of couple of force, Fa can be expressed as: 
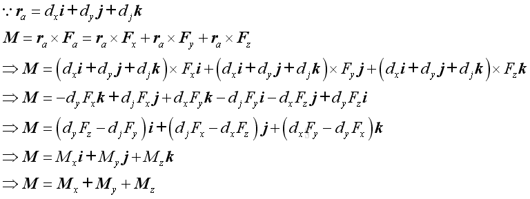
         Although the couple of force, Fa can be resolved into three couple components of rectangular force, Fx Fy and Fz, the moments of the three couple components, M1, M2 and M3 may not be the rectangular couple components because the plane containing the force couple may be at an angle to the coordinate planes. However, the vector sum of M1, M2 and M3 is always equal to moment M. The rectangular components Mx, My and Mz of moment M can be determined by resolving the moment arm vector ra into rectangular components, imply 
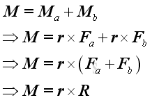
         Couple AdditionFor the addition of couples at their intersection line, forces at the point of application can be represnted by a resultant force. The resultant forces R and -R of force couples of forces Fa and Fb also form a couple of force R. 
         Since all force couples can be translated to the same points of application with common moment arm, the resultant moment M of force couples can be expressed as: 
         Therefore the resultant moment M of force couples is the vector sum of moments Ma and Mb of forces Fa and Fb. ©sideway ID: 110700004 Last Updated: 7/5/2011 Revision: 0 Ref: References 
 Latest Updated Links 
     Nu Html Checker  53  na  | 
    ![]() Home 5 Business Management HBR 3 Information Recreation Hobbies 8 Culture Chinese 1097 English 339 Travel 18 Reference 79 Hardware 27 Computer Hardware 259 Software Application 213 Digitization 37 Latex 52 Manim 205 KB 1 Numeric 19 Programming Web 289 Unicode 504 HTML 66 CSS 65 SVG 46 ASP.NET 270 OS 431 DeskTop 7 Python 72 Knowledge Mathematics Formulas 8 Set 1 Logic 1 Algebra 84 Number Theory 206 Trigonometry 31 Geometry 34 Calculus 67 Engineering Tables 8 Mechanical Rigid Bodies Statics 92 Dynamics 37 Fluid 5 Control Acoustics 19 Natural Sciences Matter 1 Electric 27 Biology 1  | 
Copyright © 2000-2025 Sideway . All rights reserved Disclaimers last modified on 06 September 2019