
TOCForceMomentCouple Draft for Information Only 
Force-Couple systemSometime the applied point of a force-couple system is also need to be considered at a different point. When the above force-couple system at point B is to be considered at point C, both the force and couple vectors are needed to be considered. 
         Since couple vector is a free vector, the couple vector M can be attached to point C directly without making any change. For the force vector, it can be treated as a single force transformation by attaching two forces, F and -F with magnitude equal to the applied force F at point C as before. But when the force F is applied at point B on the rigid body, the moment of the force about point C is equal to MCB . 
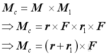
         The formed force couple of moment MCB can be replaced by a couple vector M1. The couple vector M1 is a free vector and it can be located at point C for convenience. Two couple vectors are then added to form a resultant couple vector Mc. 
         Therefore the equivalent system of a force-couple system acting at point B on a rigid body can be transformed to an arbitrary point C by moving both the force vector F and the couple vector M to point C, and adding a couple vector M1 with moment equals to the moment MCB of the force vector F at point B about point C. At which, the force vector F tend to provide the same linear motion and the resultant couple vector Mc tend to provide the same rotational motion as the force vector F at point B. The equivalent system is also force-couple system. 
         And the resultant couple or moment vector can be expressed as: 
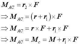
         When considering the moment of force F at point A about point C, the moment is equal to MCA . 
         And the moment vector can be expressed as:  
    Since the force vector F can also be moved to point C as in the force transformation, the results of two system transformation are equal. Therefore the equivalent system of a force-couple system acting can be transformed from point B to an arbitrary point C by moving both the force vector F and the couple vector M to point C, and adding a couple vector M1 with moment equals to the moment MCB of the force vector F at point B about point C. 
 ©sideway ID: 110700011 Last Updated: 7/12/2011 Revision: 1 Ref: References 
 Latest Updated Links 
     Nu Html Checker  53  na  | 
    ![]() Home 5 Business Management HBR 3 Information Recreation Hobbies 8 Culture Chinese 1097 English 339 Travel 18 Reference 79 Hardware 26 Computer Hardware 259 Software Application 213 Digitization 37 Latex 52 Manim 205 KB 1 Numeric 19 Programming Web 289 Unicode 504 HTML 66 CSS 65 SVG 46 ASP.NET 270 OS 431 DeskTop 7 Python 72 Knowledge Mathematics Formulas 8 Set 1 Logic 1 Algebra 84 Number Theory 206 Trigonometry 31 Geometry 34 Calculus 67 Engineering Tables 8 Mechanical Rigid Bodies Statics 92 Dynamics 37 Fluid 5 Control Acoustics 19 Natural Sciences Matter 1 Electric 27 Biology 1  | 
Copyright © 2000-2025 Sideway . All rights reserved Disclaimers last modified on 06 September 2019