
Draft for Information Only
ContentInstantaneous Rate of Change
Instantaneous Rate of ChangeIn linear or circular motion, the instantaneous rate of change is related to the physical displacement of an object with respect to time. But the instantaneous rate of change is also related to the the movement of some quantity passing through a reference with respect to time. Flow Rate
Flow rate usually refer to the volumetric flow rate of an object. Volume flow rate q is defined as the volume of the object passes through a given surface per unit time. When the given surface is equal to one unit, the velocity of the object flow is equal to the magnitude of the volume flow rate. For a steady flow, the relationship between the final volume V, initial volume Vo, volume flow rate Q and time t can be expressed as a function:
Instantaneous flow rate can be defined as the instantaneous rate of change of the volume flow through a reference with respect to the time t. The derivative of the function is..
The volume flow rate is a constant for both a steady uniform flow and a steady nonuniform flow because the parameters of the flow do not change in time at every point. However only the uniform flow does have the parameters of the flow are the same for all spatial points along the flow, e.g. flowing through pipe with constant diameter. But for the nonuniform flow, the parameters of the flow vary and are different at different spatial points along the flow, e.g. flowing through a tapering pipe. For a steady flow with constant acceleration, the relationship between the final volume flow rate Q, initial volume flow rate Qo, acceleration a and time t can be expressed as a function:
Instantaneous acceleration can be defined as the instantaneous rate of change of the volume flow rate with respect to the time. The derivative of the function is.
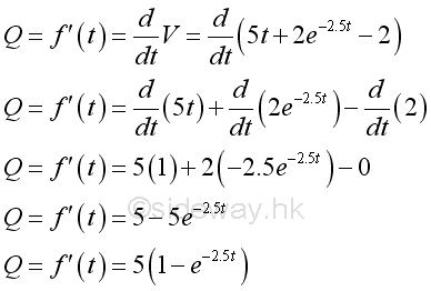
Since V is a function of time f(t), the derivative Q is equal to the first derivative of function V with respect to time t.
The derivative a is equal to the derivative of function Q with respect to t. But Q is also a function of time, the derivative is
Therefore the derivative a is also equal to the second derivative of function V with respect to t. Flow Rate ProblemA water supply system is operated by a water pump. The water supply after switching on the pump can be described by a volume function V with respect to time t.
Graphically
The information directly from the function is the total pumped water. e.g. at t=1, the total pumped water is 3.1,
e.g. at t=2, the total pumped water is 8,
e.g. at t=3, the total pumped water is 13,
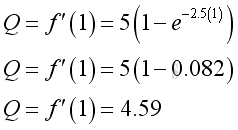
The first derivative can be used to determine the instantaneous volume flow rate. imply
Graphically
The information directly from the derivative is the instantaneous volume flow rate. e.g. at t=1, the instantaneous volume flow rate is 4.59
e.g. at t=2, the instantaneous volume flow rate is 4.97.
e.g. at t=3, the instantaneous volume flow rate is 5
The second derivative can be used to determine the instantaneous acceleration of the instantaneous volume flow rate. imply
Graphically
The information directly from the derivative is the instantaneous acceleration. e.g. at t=1, the instantaneous acceleration is 1.026
e.g. at t=2, the instantaneous acceleration is 0.804
e.g. at t=3, the instantaneous acceleration is 0.007
©sideway ID: 110900016 Last Updated: 9/22/2001 Revision: 0 Ref: References
Latest Updated Links
Nu Html Checker 53 na |
![]() Home 5 Business Management HBR 3 Information Recreation Hobbies 9 Culture Chinese 1097 English 339 Travel 40 Reference 79 Hardware 55 Computer Hardware 260 Software Application 213 Digitization 37 Latex 52 Manim 205 KB 1 Numeric 19 Programming Web 289 Unicode 504 HTML 66 CSS 65 SVG 46 ASP.NET 270 OS 431 DeskTop 7 Python 72 Knowledge Mathematics Formulas 8 Set 1 Logic 1 Algebra 84 Number Theory 206 Trigonometry 31 Geometry 34 Calculus 67 Engineering Tables 8 Mechanical Rigid Bodies Statics 92 Dynamics 37 Fluid 5 Control Acoustics 19 Natural Sciences Matter 1 Electric 27 Biology 1 |
Copyright © 2000-2026 Sideway . All rights reserved Disclaimers last modified on 06 September 2019