
Draft for Information Only 
    ContentRelated Rates
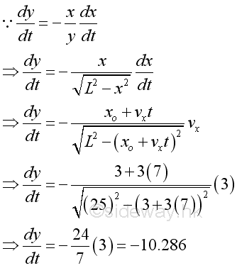
    Related RatesFor motion system with fixed relationship between its input and output, the derivatives, instantaneous rates of change can also be used as related rates of change for determining the unknown rate of change by the known rate of change. Related MotionThe most common related motions are the physical related motions in a mechanical system. Sometimes the related motion can also be other physical systems, for example optical projection. Related Linear Motion - Falling Ladder ProblemA 25 long ladder is leaning against a wall. When the bottom of ladder is moved outward at x=3 with constant speed Vx=3, the top of ladder is being moved downward simultaneously. Since the ladder is rigid and fixed in length, the instantaneous vertical velocity Vy at time 7 is: 
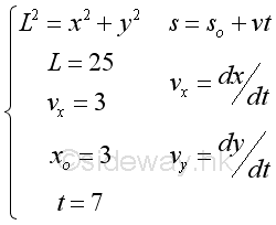
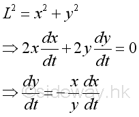
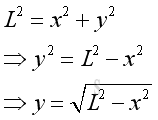
         According to the given information. The unknown rate of change is the linear displacement along y direction with respect to time t and the known rate of change is the linear displacement along x direction with respect to time t. Both x and y are the Cartesian coordinates. The relationship between x and y in Cartesian coordinates can be related by the length of the ladder through the Pythagorean theorem, i.e. L2=x2+y2. Therefore the mathematical model of the falling ladder is:  
    The relationship of the two cartesian instantaneous velocity vx and vy are:  
    Therefore the instantaneous velocity vy is a function of x and y. And y can be expressed as:  
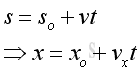
    And the position of the bottom of ladder at time t is:  
    Subsitute all variables and get:  
    Graphically:  
    Intantaneous velocities plot against time:  
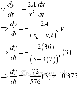
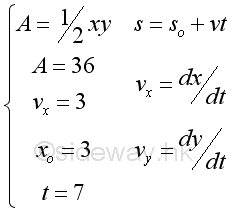
    Related Linear Motion - Moving Rod ProblemA guided rod is moving along the x and y axis with fixed enclosed area A=36. When the guided rod is moved outward along x-axis at x=3 with constant speed Vx=3, the guided rod is being moved downward simultaneously. Since the guided rod is rigid and the enclosed area is fixed, the instantaneous vertical velocity Vy along y-axis at time 7 is:  
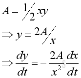
    According to the given information. The unknown rate of change is the linear displacement along y direction with respect to time t and the known rate of change is the linear displacement along x direction with respect to time t. Both x and y are the Cartesian coordinates. The relationship between x and y in Cartesian coordinates can be related by the enclosed area, i.e. A=xy/2. Therefore the mathematical model of the falling ladder is:  
    The relationship of the two cartesian instantaneous velocity vx and vy are:  
    And the position of the bottom of ladder at time t is:  
    Subsitute all variables and get:  
    Graphically:  
    Intantaneous velocities and displacements plot against time:  
 ©sideway ID: 111000005 Last Updated: 10/10/2011 Revision: 0 Ref: References 
 Latest Updated Links 
     Nu Html Checker  53  na  | 
    ![]() Home 5 Business Management HBR 3 Information Recreation Hobbies 8 Culture Chinese 1097 English 339 Travel 18 Reference 79 Hardware 27 Computer Hardware 259 Software Application 213 Digitization 37 Latex 52 Manim 205 KB 1 Numeric 19 Programming Web 289 Unicode 504 HTML 66 CSS 65 SVG 46 ASP.NET 270 OS 431 DeskTop 7 Python 72 Knowledge Mathematics Formulas 8 Set 1 Logic 1 Algebra 84 Number Theory 206 Trigonometry 31 Geometry 34 Calculus 67 Engineering Tables 8 Mechanical Rigid Bodies Statics 92 Dynamics 37 Fluid 5 Control Acoustics 19 Natural Sciences Matter 1 Electric 27 Biology 1  | 
Copyright © 2000-2025 Sideway . All rights reserved Disclaimers last modified on 06 September 2019