
Property of Definite IntProperty of Indefinite IntBy Anti-Differentiation Draft for Information Only
Content
Rules of Integration for Indefinite
Integral
Rules of Integration for Indefinite IntegralIn order to simplify the task of finding integrals, some integration techniques are developed to help finding integrals by simplifying the integrand to a simple format. Subsitution Rule for Indefinite IntegralIntegration by substitution is method of changing the original variable of an integral to another variable by specifing a relationship between the two variables. The strategy is to simplify the calculation work of determining the value of the integral. The technique is making use of the Rule of Composite Function in differentiation. i.e.
Imply
Reverse Substitution:The method is the application of Rule of Composite Function in differentiation by assuming the method of substitution is already there through the transformation of the orginal integrand to the needed format by re-grouping the original variable as a new variable so as to simplify the calculation work of determining the integral.
The technique used in the product and quotient of standard function is the application of the substitution function to some standard integral forms by transforming the variable of integration through the decomposition the integrand. Imply:
The key step of direct substitution is the formation of another variable u=g(x) from the original variable x of the integrand. Direct Substitution:Sometime it is necessary to introduce a new variable of a function for substituting the original variable in order to determine the integrals. The method is the application of Rule of Composite Function in differentiation by applying a direct variable substitution through the transformation of the orginal variable to a new introduced varible by tranforming the original varible of integration to the new variable of integraion indirectly so as to simplify the calculation work of determining the integral. Imply
The aim of the technique is to transform the original intergral to another integral that is easier to compute. The strategy of the technique is to transform the integrand and variable of integration into the direction substitution format by introducing a new variable of the function for the original variable so that the transformed integrand of new variable after computing is still easier to determine the integral with respect to the new variable. Imply
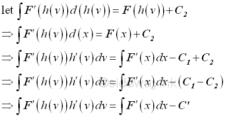
Proof: Assume the integral of an integrand can be expressed as:
Let x equal to a function h of v be the substitution used, imply:
The constant C1 and C2 are constants of integration for two different indefinite integrals. Since F(x)=F(h(v)), imply :
The different between two indefinite integrals is a constant C', therefore the original integral can be determined by applying the forward substitution of the new introduced variable first and then substite the backward substitution back to the solution to obtain the original variable. The two important steps of the substitution rule are:
Therefore:
Steps of Integrate by substitution:
Remarks:For definite integral, the domain should be considered also, imply
©sideway ID: 111000024 Last Updated: 10/25/2011 Revision: 0 Ref: References
Latest Updated Links
Nu Html Checker 53 na |
![]() Home 5 Business Management HBR 3 Information Recreation Hobbies 9 Culture Chinese 1097 English 339 Travel 44 Reference 79 Hardware 55 Computer Hardware 260 Software Application 213 Digitization 37 Latex 52 Manim 205 KB 1 Numeric 19 Programming Web 289 Unicode 504 HTML 66 CSS 65 SVG 46 ASP.NET 270 OS 431 DeskTop 7 Python 72 Knowledge Mathematics Formulas 8 Set 1 Logic 1 Algebra 84 Number Theory 206 Trigonometry 31 Geometry 34 Calculus 67 Engineering Tables 8 Mechanical Rigid Bodies Statics 92 Dynamics 37 Fluid 5 Control Acoustics 19 Natural Sciences Matter 1 Electric 27 Biology 1 |
Copyright © 2000-2026 Sideway . All rights reserved Disclaimers last modified on 06 September 2019