
Draft for Information Only
Content
Summation of Accumulative Physical Quantity
Summation of Accumulative Physical QuantityIn general, the application of integration can also be applied to other mechanical quantities by expressing the mechanical quantity in the form of accumulative mechanical quantity.
Moment of LoadMoment is a measure of the tendency of an object to rotate about a point by load. Moment can be defined as the product of a load acting upon along a line of an object and the prependicular distance between the point of action and the line of action of the load. When a beam is fixed at one end, the beam will bend downward when a load is applied on the other end. The moment at the fixed end is called bending moment
Moment of the concentrated point load at the fixed end is
Moment of an uniformly distributed rectangular load on the beamFor an uniformly distributed rectangular load, the load is even distributed over the span of the beam, the total moment at the fixed end can be obtained by slicing the moment into infinitesimal moment elements caused by infinitesimal load elements.
Since the load is uniformly distributed over the span of beam, the infinitesimal load element can be expressed as load per unit length, imply
Moment of an uniformly distributed rectangular load at the fixed end of the beam is.
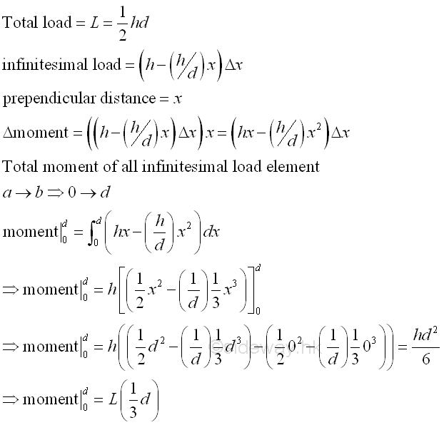
Moment of a non-uniformly distributed triangular load on the beamFor an non-uniformly distributed triangular load, the load is linearly distributed over the span of the beam, the total moment at the fixed end can be also obtained by slicing the moment into infinitesimal moment elements caused by infinitesimal load elements.
Since the load is linearly distributed over the span of beam, the infinitesimal load element can be expressed as a function of distance x from the fixed end, imply
Moment of an linearly distributed triangular load at the fixed end of the beam is
Moment of a non-uniformly distributed triangular load on the beamFor an non-uniformly distributed triangular load, the load is linearly distributed over the span of the beam, the total moment at the fixed end can be also obtained by slicing the moment into infinitesimal moment elements caused by infinitesimal load elements.
Since the load is linearly distributed over the span of beam, the infinitesimal load element can be expressed as a function of distance x from the fixed end, imply
Moment of an linearly distributed triangular load at the fixed end of the beam is
©sideway ID: 111200006 Last Updated: 12/16/2011 Revision: 0 Ref: References
Latest Updated Links
Nu Html Checker 53 na |
![]() Home 5 Business Management HBR 3 Information Recreation Hobbies 8 Culture Chinese 1097 English 339 Travel 18 Reference 79 Hardware 28 Computer Hardware 259 Software Application 213 Digitization 37 Latex 52 Manim 205 KB 1 Numeric 19 Programming Web 289 Unicode 504 HTML 66 CSS 65 SVG 46 ASP.NET 270 OS 431 DeskTop 7 Python 72 Knowledge Mathematics Formulas 8 Set 1 Logic 1 Algebra 84 Number Theory 206 Trigonometry 31 Geometry 34 Calculus 67 Engineering Tables 8 Mechanical Rigid Bodies Statics 92 Dynamics 37 Fluid 5 Control Acoustics 19 Natural Sciences Matter 1 Electric 27 Biology 1 |
Copyright © 2000-2025 Sideway . All rights reserved Disclaimers last modified on 06 September 2019