
TOCForceMomentCoupleSystem of Forces Draft for Information Only
ContentEquilibrium Equations in Two Dimensions
Equilibrium Equations in Two DimensionsThe number of unknown for a reaction to represent the support and connection is equal to 1 to 3 depending on the type of support and connection. Since maximum three unknowns can be determined in the two dimensional rigid structure, in general, unknown forces of an equilibrium rigid body with simple support and connection in two dimensions can be determined by the application of equilibrium equations.
For example, a structure of mass, m, is fixed by a hinge pin at one of its lower end and support by a roller at the other lower end.
According to the types of support and connection, the free body diagram of the structure is.
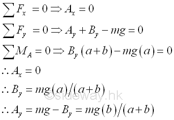
By the equalibrium equations.
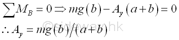
Alternative Forms of Equilibrium EquationsSince when a rigid body is in static equilibrium state, the moment at any point in the planar structure is equal to zero also, imply the moment at point B is equal to zero also. Imply
This additional equation is not an independent equation, no new information can be obtained from this equation, and the additional equation can not be used to determine a fourth unknown. However, by taking moment at B instead of force summation along y direction, the unknown reaction By is reduced. The alternative system of equailibrium equation is
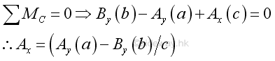
Similary, the force summation along x direction can also be replaced by taking moment at point, C, such that force Ax is expressed in terms of forces Ay and By. Imply
Since the moment at point C can replace the force along x direction, the alternative system of equailibrium equation is
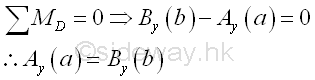
Physically, a rigid body in two dimensions is in equilibrium state, when the force summation in both direction is equivalent to zero and the net moments of all forces are balanced at any point and is equal to zero. Therefore the above two alternative equilibrium equations can be used to simplify the calculation work. However, when considering the moment at point D, imply
This is only an alternative form of MA or MB, Therefore the selection of moment taking point should be aimed at obtaining equilibrium equation with less unknown variables. Besides these alternative equations can also be used for checking the solution obtained from the origianal or other alternative equilibrium equations. ©sideway ID: 120200062 Last Updated: 2/4/2016 Revision: 1 Ref: References
Latest Updated Links
Nu Html Checker 53 na |
![]() Home 5 Business Management HBR 3 Information Recreation Hobbies 9 Culture Chinese 1097 English 339 Travel 44 Reference 79 Hardware 55 Computer Hardware 260 Software Application 213 Digitization 37 Latex 52 Manim 205 KB 1 Numeric 19 Programming Web 289 Unicode 504 HTML 66 CSS 65 SVG 46 ASP.NET 270 OS 431 DeskTop 7 Python 72 Knowledge Mathematics Formulas 8 Set 1 Logic 1 Algebra 84 Number Theory 206 Trigonometry 31 Geometry 34 Calculus 67 Engineering Tables 8 Mechanical Rigid Bodies Statics 92 Dynamics 37 Fluid 5 Control Acoustics 19 Natural Sciences Matter 1 Electric 27 Biology 1 |
Copyright © 2000-2026 Sideway . All rights reserved Disclaimers last modified on 06 September 2019