
TOCForceMomentCoupleSystem of ForcesStatic Equilibrium Draft for Information Only
Content
Simple
Planar Truss
Simple Planar TrussForces Analysis by Method of Sections:The determination of forces in trusses by method of joints is limited by numbers of equations can be written from a joint. Mehod of joints can only work with two unknown forces because only two equilibrium equations can be written from a joint. And the determination of forces in trusses should start with joint with two unknowns only, Therefore the using of method of joint is usually used to determine of the forces in all truss member. When only one or a few forces in some of the truss members are interested, the most effective way is the using of method of sections.
For an equilibrium rigid body, every component parts of the rigid body should also be in equilibrium. The method of sections is the consideration of the rigid body into two sectional parts across truss members virtually. The main advantage of method of sections over method of joints is the numbers of equations can be written from a sectional part. When treating a sectional part as an equilibrium free rigid body, three equilibrium equations can be written from the sectional part.
Therefore the key concept is to create a virtual section with maximum three unknowns only. Since the reactions of the supports and connections can be determined by considering the whole truss as one free body, the three unknown of the sectional part is usually forces in truss members. If the dimensions of truss members is known, only the magnitude of force in a truss member is the unknown.
Since the section is a virtual section only, there is no limitation of the shape of the sectional line or curve. The strategy of forces in truss member determination by method of sections is to start with maximum three unknowns. However, the method of sections in some case can be used to determine forces in the involved truss members that are more than three unknowns. If some of the unknown forces in truss members, which are connected by the joint pins, may be related and determined by setting up additional equilibrium equations through the construction of simple force vector diagram.
In order to maintain in static equilibrium state, after dividing the truss member into two sectional parts, there are alway reaction forces act on each other due to the forces in truss members. The force in the truss member can be assumed either tensile or compressive, the sense of the direction will confirm whether the assumption is correct or not. These two unknown forces becomes the external forces of the free body, sometimes these two unknown forces can directly act on the joint pin of the free body along the truss members because of the principle of transmissibility. Either of two sectional parts of the truss can be used as a free body for determining the forces in the truss members.
Determination of Forces in Trusses :When the completely constrained truss is in static equilibrium, all the unknown reactions can be determined as in method of joints. Imply
Forces in Two Truss Members AD and AC:The left sectional part of the truss is a free body with two unknowns only, the forces in truss members can be determined by method of joints. Since there is only one joint in the free body, the equilibrium equations used is same as the equilibrium equations used in the method of joints Imply,
The right sectional part of the truss is a free body with two unknowns only, the forces in truss members can be determined by method of sections. For two unknowns, only two equilibrium equations are needed, Imply,
Forces in Three Truss Members AC, DC and CB:
The free bodys of the sectional parts is,
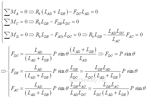
Considering the simple free body of the right sectional part of the truss with three unknowns and one reaction only. The forces in truss members can be determined by method of sections. For three unknowns, three equilibrium equations are needed. When the truss in equilibrium, the summation of moment at any point on the truss is equal to zero also. To simplify the analysis, forces truss can be obtained by taking moment at joints A, C and D, Imply
Forces in Four Truss Members AC, DC and CB:This is only to demonstrate the creation of additional equilibrium equation for a four unknowns problem. ,
The free bodys of the sectional parts is,
Considering the free body of the middle sectional part of the truss with four unknowns and one applied load only. The forces in truss members can also be determined by method of sections. For four unknowns, four equations are needed. Besides the three equilibrium equations, one more equation is need. According to the entire truss consturction, unknown forces either FDB and FCB, or FAD and FAC can related, Imply
©sideway ID: 120200074 Last Updated: 2/29/2012 Revision: 0 Ref: References
Latest Updated Links
Nu Html Checker 53 na |
![]() Home 5 Business Management HBR 3 Information Recreation Hobbies 9 Culture Chinese 1097 English 339 Travel 44 Reference 79 Hardware 55 Computer Hardware 260 Software Application 213 Digitization 37 Latex 52 Manim 205 KB 1 Numeric 19 Programming Web 289 Unicode 504 HTML 66 CSS 65 SVG 46 ASP.NET 270 OS 431 DeskTop 7 Python 72 Knowledge Mathematics Formulas 8 Set 1 Logic 1 Algebra 84 Number Theory 206 Trigonometry 31 Geometry 34 Calculus 67 Engineering Tables 8 Mechanical Rigid Bodies Statics 92 Dynamics 37 Fluid 5 Control Acoustics 19 Natural Sciences Matter 1 Electric 27 Biology 1 |
Copyright © 2000-2026 Sideway . All rights reserved Disclaimers last modified on 06 September 2019