
|
Draft for Information Only
Content
Factorization
FactorizationFactorization is one of the methods to verify whether a number is prime. Prime Factorization Trial DivisionThe direct search factorization is a bruce force factorization method for determining all possible prime factors of a composite number, N, through the repeated examination of divisibility by trial division from a set of non-trivial prime divisors. Let x, y are non-trivial factors of integer N with N=xy. imply
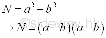
It is not necessary to test all numbers from 1 to N-1. If x, y are non-trivial factors of integer N with N=xy and x≤y, then x≤√N. Since if x>√N, then y≥x>√N and imply xy>N, which contradicts to the assumption N=xy. Therefore, the trial division can be performed by checking whether x divides N, x|N, for x=2 to the floor of √N. if x is found, imply x≡0 (mod N), and y, y=N/x is a factor also. In verifying whether a number N is prime, x can be limited to a non-trivial prime factor. Fermat FactorizationThe Fermat factorization (1600s) from Pierre de Fermat is another way of factoring a composite number by considering the composite number as the difference of squares. This standard binomial can then be factorized into a product. Imply
Since all even number can be divided by 2, let x, y are non-trivial odd factors of integer N with N=xy. imply
Equate two equations. Imply
Both a and b are integers because x and y are odd integers, the sum and difference between any two odd number are even number which is divisible by 2. As x and y are non trivial factors, √N≥x>1 and y≥x, imply a≥1 and b≥0. Instead of testing the non trivial factors x, and y, Fermat factorization examine the integers a and b. Imply
Therefore, the Fermat factorization can be performed by checking a from the floor of √N to N. whether the corresponding value of b is an integer and the corresponding terms of the product, (a-b) and (a+y) are the non trivial factors of N. Imply
In verifying whether a number N is prime, the value of integer a should be choosen from the floor of √N to N. Pollard Rho FactorizationThe Pollard rho factorization or Pollard's Monte Carlo factorization method (1975) from J.M. Pollard is another technique of finding factors of a composite number by making use of probabilistic ideas from transforming a sequencial sequence to a congruential pseudo-random sequence to increase the probability of getting prime factors of the composite number. ©sideway ID: 120400011 Last Updated: 4/17/2012 Revision: 0 Ref: References
Latest Updated Links
Nu Html Checker 53 na |
![]() Home 5 Business Management HBR 3 Information Recreation Hobbies 9 Culture Chinese 1097 English 339 Travel 44 Reference 79 Hardware 55 Computer Hardware 260 Software Application 213 Digitization 37 Latex 52 Manim 205 KB 1 Numeric 19 Programming Web 289 Unicode 504 HTML 66 CSS 65 SVG 46 ASP.NET 270 OS 431 DeskTop 7 Python 72 Knowledge Mathematics Formulas 8 Set 1 Logic 1 Algebra 84 Number Theory 206 Trigonometry 31 Geometry 34 Calculus 67 Engineering Tables 8 Mechanical Rigid Bodies Statics 92 Dynamics 37 Fluid 5 Control Acoustics 19 Natural Sciences Matter 1 Electric 27 Biology 1 |
Copyright © 2000-2026 Sideway . All rights reserved Disclaimers last modified on 06 September 2019