
TOCForceMomentCoupleSystem of ForcesStatic EquilibriumStructure Analysis Draft for Information Only
Content
Distributed Loads
Distributed LoadsDistributed loads are applied forces acting on a body. Physically, distributed loads can be divided into discrete distributed forces and continuous distributed loads. A discrete distributed forces is a set of concentrated foces as point loads acting on the body. And the system of forces of a discrete distributed forces can be simplied into one single concentrated force through system of forces transformation. But in practical mechanical applications, a continuous distributed forces acting on the body can be considered as a continuous force function. The concept of finding the centroid of an object can also be used to determine the equivalent concentrated force of a distributed load acting on a system for calculating the reactions, not the internal forces and deflections. Therefore besides determining the equivalent concentrated force by integration, the equivalent concentrated force can also be determined by making use common functions of shapes or the decomposition of composite shape into simple shapes. Distributed Load on beam
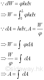
Assume the distributed loads can be expressed as a function in terms of x, i.e. w(x), per unit length, the total distributed load can be determined by integration.imply
If the distributed load is homogenous, then the distributed load can be expressed in terms of area. Imply
By the first moment of weight or area, the position of the application of the equivalent concentrated load W is
Uniform Distributed Load on Beam
Let the uniform distributed load per unit length is equal to w. And for a uniform distributed load, the total distributed load W is equal to
By taking the first moment of weight or area about origin, the position of the application of the equivalent concentrated load W is
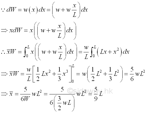
TriangularDistributed Load on Beam
Let the maximum distributed load per unit length is equal to w. And for a triangular distributed load, the total distributed load W is equal to
By taking the first moment of weight or area about origin, the position of the application of the equivalent concentrated load W is load W is
Composite Distributed Load on Beam
Let the minimum distributed load per unit length is equal to w, the maximum distributed load per unit length is equal to 2w. And for a composite distributed load, the total distributed load W is equal to
By taking the first moment of weight or area about origin, the position of the application of the equivalent concentrated load W is
Distributed Forces on Elevated Surface or Submerged SurfaceTwo most common practical applications are the wind loads acting on tall elevated building and the hydrostatic pressure forces exerted on the surface submerged in a liguid. Wind Load on Tall Building
The force exerted on a rectangular tall building due to the wind current acting on the surface can be modeled as a linear distributed load. Let the minimum distributed load per unit length is equal to w, the maximum distributed load per unit length is equal to 2w. And for a composite distributed load, the total distributed load W is equal to
By taking the first moment of weight or area about origin, the position of the application of the equivalent concentrated wind load W is
Hydrostatic Force on Rectangular Submerged Surface
When a fluid is at rest, the hydrostatic force acting on the boundary must be normal to the surface of the boundary. For a submerged thin rectangular plate with length L and width b in a liquid, the elemental hydrostatic force due to the hydrostatic pressure p, gauge pressure, is pdA or pbdx. Since the gauge pressure at the level of the elemental surface in a liquid can be expressed in terms of the depth of the elemental surface below the free surface, i.e p=ρgh. assume b=1. Imply
The resultant force acting on the rectangular plate can be determined through the decomposition of the resultant force due to the hydrostatic pressure distribution into the rectangular and triangular components. The rectangular componment FR of the resultant force is
The triangular componment FT of the resultant force is
The magnitude of the resultant force F is
Since the vertical locations of the rectangular and trianglar components of resultant force are applied at the centroids of the rectangular and trianglar components accordingly. The location of the resultant force F along y axis can be determined by taking moment about upper edge of the rectangular plate. Imply
Hydrostatic Force on Curved Submerged Surface
The resultant force acting on the curved surface can be determined through the decomposition of the resultant force due to the hydrostatic pressure into the rectangular component w1 and the triangular component w2 and the weight of the detached volume of the liquid w3 . Therefore the magnitude of total vertical force FV and total horizontal force FH acting on the curved surface are
And the resultant force R acting on the curved surface is
The magnitude of forces, w1 , w2 and w3 can be determined by the hydrostatic pressure similarly. And the location of equivalent system of forces by solving the equilibrium equation of moment about an axis. ©sideway ID: 120700005 Last Updated: 7/14/2012 Revision: 0 Ref: References
Latest Updated Links
Nu Html Checker 53 na |
![]() Home 5 Business Management HBR 3 Information Recreation Hobbies 9 Culture Chinese 1097 English 339 Travel 44 Reference 79 Hardware 55 Computer Hardware 260 Software Application 213 Digitization 37 Latex 52 Manim 205 KB 1 Numeric 19 Programming Web 289 Unicode 504 HTML 66 CSS 65 SVG 46 ASP.NET 270 OS 431 DeskTop 7 Python 72 Knowledge Mathematics Formulas 8 Set 1 Logic 1 Algebra 84 Number Theory 206 Trigonometry 31 Geometry 34 Calculus 67 Engineering Tables 8 Mechanical Rigid Bodies Statics 92 Dynamics 37 Fluid 5 Control Acoustics 19 Natural Sciences Matter 1 Electric 27 Biology 1 |
Copyright © 2000-2026 Sideway . All rights reserved Disclaimers last modified on 06 September 2019