
TOCForceMomentCoupleSystem of ForcesStatic EquilibriumStructure AnalysisDistributed ForceFriction ForceInternal Force Second Moment of a Mass of Thin Plate2nd Moment of a Mass of BodyMass Moment of Inertia of Common Shapes Draft for Information Only
ContentMoment of Inertia of Composite Body
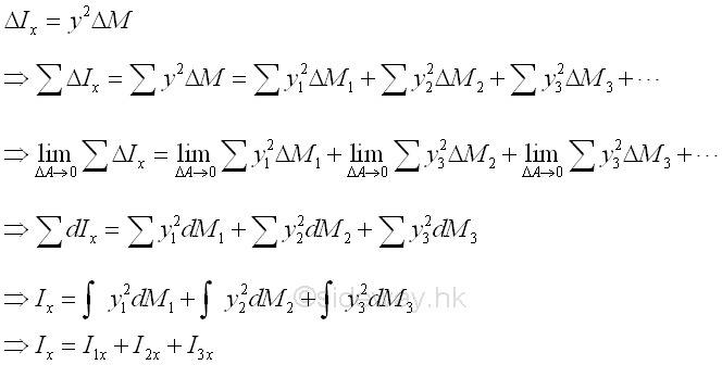
Moment of Inertia of Composite BodyBy definition, moment of inertia about an axis is equal to the summation of the products of the square of the distance between the elemental mass and the reference axis, and the elemental mass over the body. If these elemental mass can be grouped into known component masses M1, M2, M3, ...., the second moment I of the composite body A with respect to an axis can be obtained by the summation of the second moments, I1, I2, I3, .... of these component masses M1, M2, M3, ...., about the same reference axis respectively. Imply
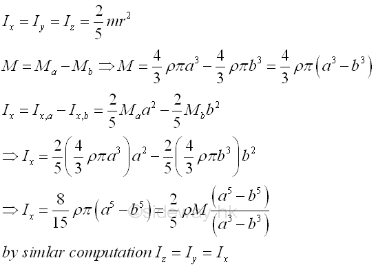
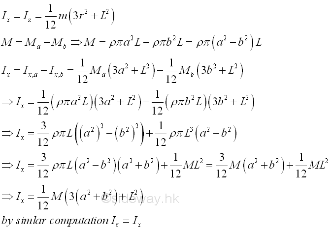
The component body of a composite body is represented by a positive mass while a hollow body is represented by a negative mass. Moment of Inertia of a Mass of Homogeneous Composite BodyMoment of Inertia of Hollow Circular Cylinder
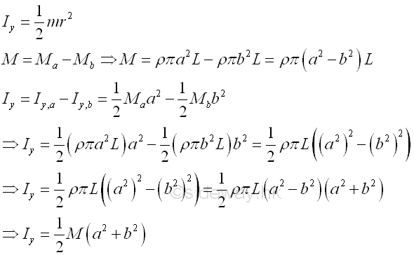
Consider a homogenous hollow circular cylinder of length L with uniform cross-sectional area A of inner radius b, outer radius a and homogenouse material density l. Both the cross-sectional area and the material density are constant over the lenght, the mass and the elemental mass of the hollow circular cylinder can be expressed in terms of the volume of the hollow circular cylinder. Since the cross-sectional radius cannot be neglected, the actual distance between the elemental mass and the reference axis should be used. The moments of inertia about axes x and z, can be determined by the method of composite body. Imply
And the moments of inertia about axis y can also be determined by parallel-axis theorem. Imply
Moment of Inertia of Hollow Sphere
Consider a homogenous hollow sphere of inner radius b, outer radius a and homogenouse material density l. The material density are constant over the lenght, the mass and the elemental mass of the hollow sphere can be expressed in terms of the volume of the hollow sphere. Since the cross-sectional radii cannot be neglected, the actual distance between the elemental mass and the reference axis should be used. The moments of inertia about axes x, y, and z, can be determined by the method of composite body. Imply
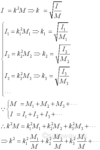
Radius of Gyration of Composite BodySimilar to case of the area moment of inertia, the radius of gyration of a composite body can not be obtained using the radii of gyration of all component bodies of a composite body only. The radius of gyration of a composite body can be determined by the second moment of the composite body and the mass of the composite body directly or making use of the radii of gyration of all component bodies of a composite body together with the masses of the component bodyies of a composite body. Imply
©sideway ID: 121100087 Last Updated: 11/16/2012 Revision: 0 Ref: References
Latest Updated Links
Nu Html Checker 53 na |
![]() Home 5 Business Management HBR 3 Information Recreation Hobbies 9 Culture Chinese 1097 English 339 Travel 44 Reference 79 Hardware 55 Computer Hardware 260 Software Application 213 Digitization 37 Latex 52 Manim 205 KB 1 Numeric 19 Programming Web 289 Unicode 504 HTML 66 CSS 65 SVG 46 ASP.NET 270 OS 431 DeskTop 7 Python 72 Knowledge Mathematics Formulas 8 Set 1 Logic 1 Algebra 84 Number Theory 206 Trigonometry 31 Geometry 34 Calculus 67 Engineering Tables 8 Mechanical Rigid Bodies Statics 92 Dynamics 37 Fluid 5 Control Acoustics 19 Natural Sciences Matter 1 Electric 27 Biology 1 |
Copyright © 2000-2026 Sideway . All rights reserved Disclaimers last modified on 06 September 2019