
TrigonometryMore Trigonometric Func.Elements of Trigonometry 1 Draft for Information Only
Content Trigonometry
TrigonometryThose fundamental trigonometric identities are related with the properties of trigonometric functions. Some trigonometric identities or formulas are derived as mathematical equalities that are always true for used with trigonometric functions simlificaton and transformation . The Double Angle IdentitiesFor the angles sum identities, if the angles α and β are equal, then the angles sum identities can be reduced to double angle by letting θ=α=β. Imply
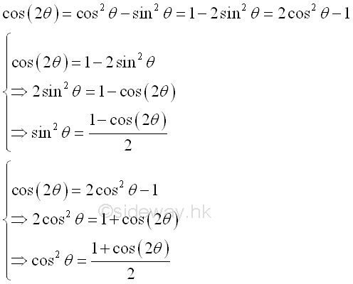
The Power Reduction FormulasThe double angle Identities for cosine function with power of sine and cosine functions can be used to reduce the power of sine and cosine functions through rearrangement of the equation. Imply
The Half Angle IdentitiesThe power reduction formulas can be further elaborated to derive the half angle identities by substituting θ with θ/2. Imply
The Triple Angle FormulasThe triple angle formulas can be derived from the angles sum identities along with the double angle identities. Imply
The Product to Sum FormulasThe product to sum formulas can be derived directly from the angles sum and difference identities by making use of the addition and subtraction operations. Imply
The Sum to Product FormulasBy substitution, the product to sum formulas can be transformed to the sum to product formulas directly. Imply
©sideway ID: 130600010 Last Updated: 6/9/2013 Revision: 0 Ref: References
Latest Updated Links
Nu Html Checker 53 na |
![]() Home 5 Business Management HBR 3 Information Recreation Hobbies 9 Culture Chinese 1097 English 339 Travel 40 Reference 79 Hardware 55 Computer Hardware 260 Software Application 213 Digitization 37 Latex 52 Manim 205 KB 1 Numeric 19 Programming Web 289 Unicode 504 HTML 66 CSS 65 SVG 46 ASP.NET 270 OS 431 DeskTop 7 Python 72 Knowledge Mathematics Formulas 8 Set 1 Logic 1 Algebra 84 Number Theory 206 Trigonometry 31 Geometry 34 Calculus 67 Engineering Tables 8 Mechanical Rigid Bodies Statics 92 Dynamics 37 Fluid 5 Control Acoustics 19 Natural Sciences Matter 1 Electric 27 Biology 1 |
Copyright © 2000-2026 Sideway . All rights reserved Disclaimers last modified on 06 September 2019