
PolynomialTrigonometricExp() and Log()Inv TrigonometricHyperbolicInv HyperbolicImplicit Equation 1 Draft for Information Only
ContentDerivatives of General Results
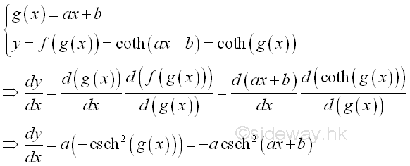
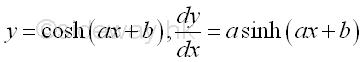
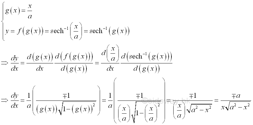
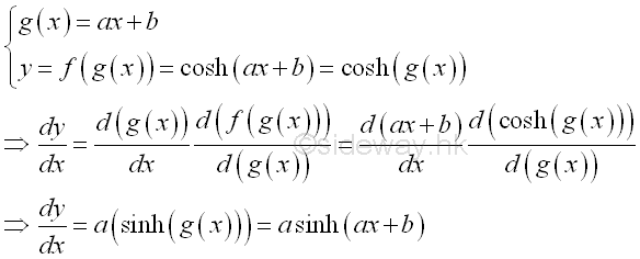
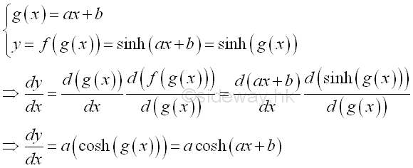
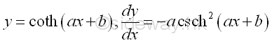
Derivatives of General ResultsUsually, general result of a function can be determined by the rule of composite function. Derivative of General Hyperbolic Function
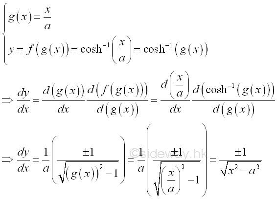
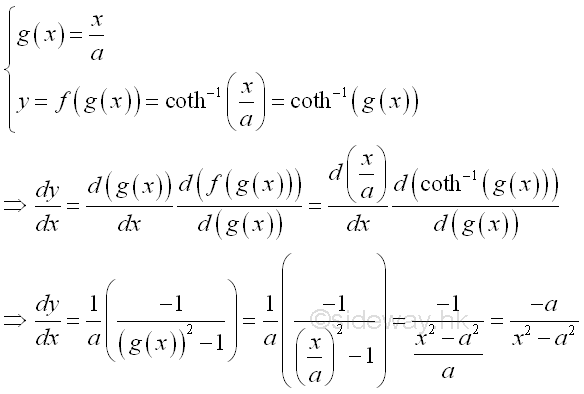
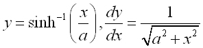
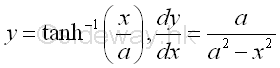
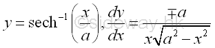
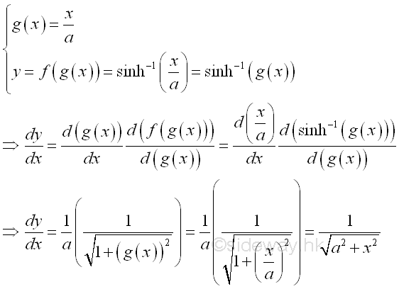
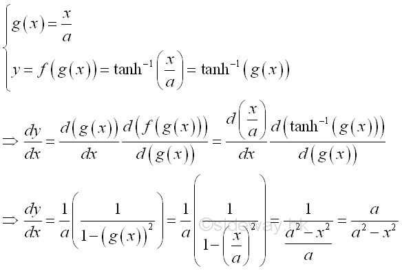
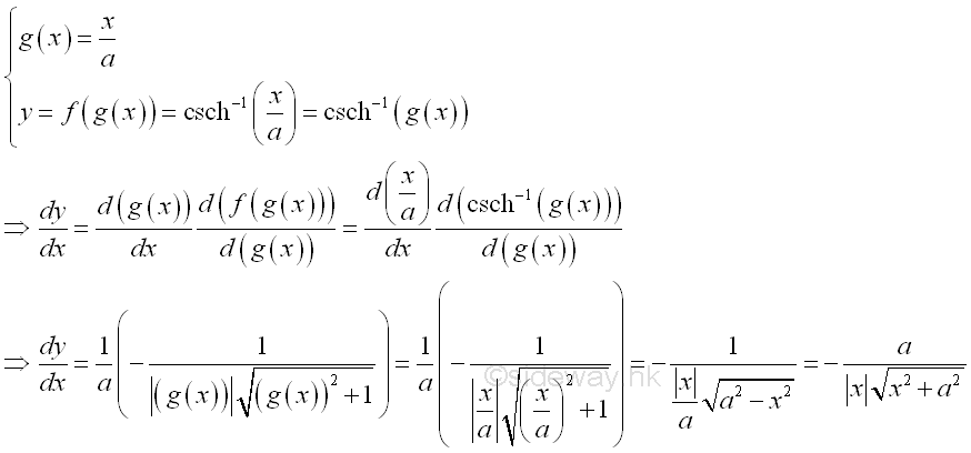
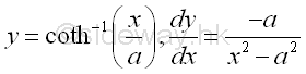
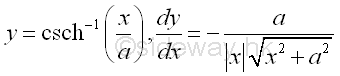
Derivative of General Inverse Hyperbolic Function
©sideway ID: 130700020 Last Updated: 7/15/2013 Revision: 1 Ref: References
Latest Updated Links
Nu Html Checker 53 na |
![]() Home 5 Business Management HBR 3 Information Recreation Hobbies 9 Culture Chinese 1097 English 339 Travel 36 Reference 79 Hardware 54 Computer Hardware 259 Software Application 213 Digitization 37 Latex 52 Manim 205 KB 1 Numeric 19 Programming Web 289 Unicode 504 HTML 66 CSS 65 SVG 46 ASP.NET 270 OS 431 DeskTop 7 Python 72 Knowledge Mathematics Formulas 8 Set 1 Logic 1 Algebra 84 Number Theory 206 Trigonometry 31 Geometry 34 Calculus 67 Engineering Tables 8 Mechanical Rigid Bodies Statics 92 Dynamics 37 Fluid 5 Control Acoustics 19 Natural Sciences Matter 1 Electric 27 Biology 1 |
Copyright © 2000-2026 Sideway . All rights reserved Disclaimers last modified on 06 September 2019