
| 
    
 Draft for Information Only 
    Content Examples of 1D Kinematics
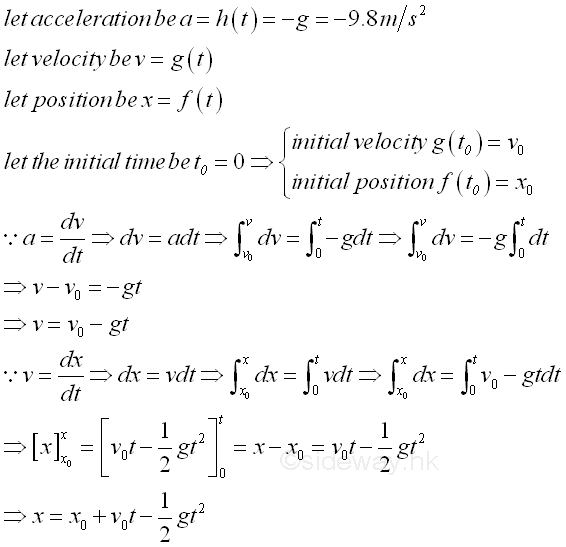
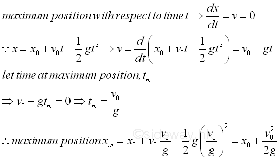
    Examples of 1D KinematicsGeneral equations of 1D kinematics can be used to solve 1D kinematics problems, however, attention should also be paid to the sense of a vector and the signed representation of a definite integral besides the function of motion. Example 1An object is tossed from a x0 m high cliff with initial speed v0m/s upward. Air resistance may be ignored, so the object is in free fall. What is the speed and position of the object after t s before hit the ground? What is the maximum position of the obect and the time required to reach the maximum elevation. And what is the time and the velocity of the object when touching the ground? What is the total distance of the object travelled? Assumed ground is the origin O, then velocity moving upward is positive. For free fall, the acceleration can be assumed to be equal to a=9.8m/s2 downward or with negative sense. Both the velocity and position of the object can be expressed as a function in term of time t. At t=t0=0, the given initial velocity is equal to v0 and the initial position is equalt to x0. And acceleration is constant and is equal to -g Imply ![]() For maximum elevation, the derivation of position function of the object is equal to zero, or the velocity of the object is equal to zero. Imply  
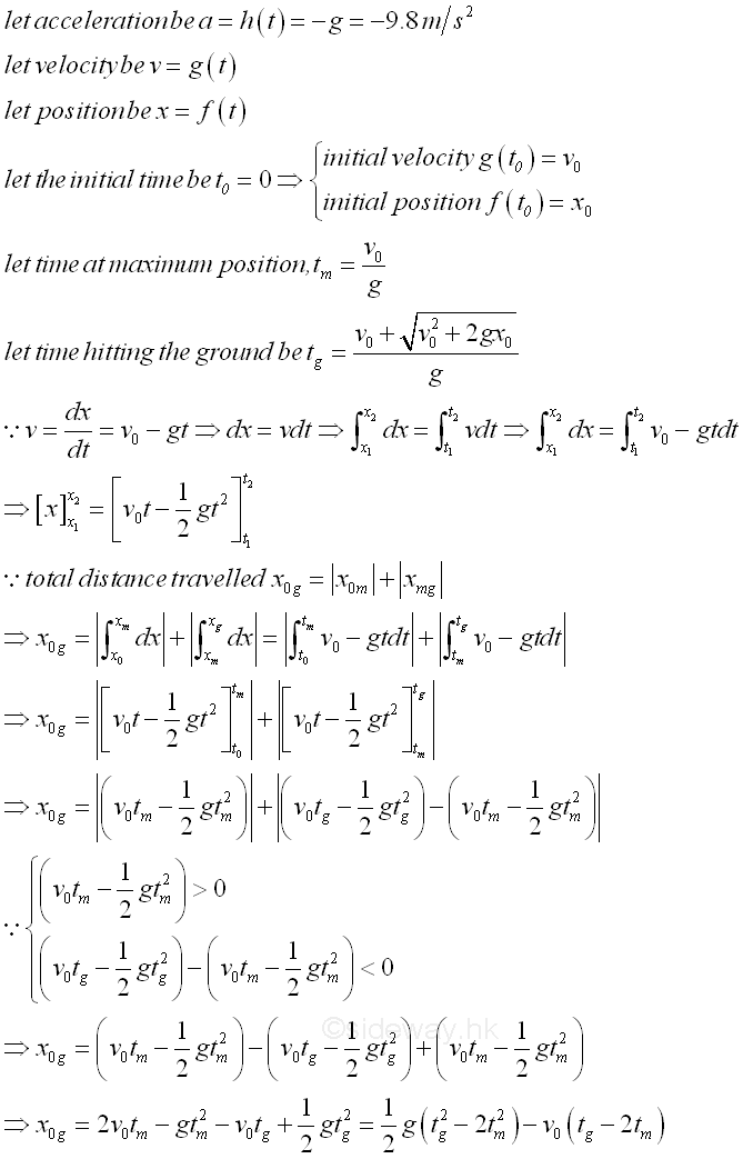
    Since the position of the object is equal to zero when hitting the ground, imply  
    The velocity function of the object with respect to time is as following  
        Since the distance travelled by the object is characterized by velocity direction with positive for moving upward and negative for moving downward, the total travelled distance should be determined separately. Imply  
©sideway ID: 140200015 Last Updated: 2/15/2014 Revision: 0 Ref: References 
 Latest Updated Links 
     Nu Html Checker  53  na  | 
    ![]() Home 5 Business Management HBR 3 Information Recreation Hobbies 8 Culture Chinese 1097 English 339 Travel 18 Reference 79 Hardware 27 Computer Hardware 259 Software Application 213 Digitization 37 Latex 52 Manim 205 KB 1 Numeric 19 Programming Web 289 Unicode 504 HTML 66 CSS 65 SVG 46 ASP.NET 270 OS 431 DeskTop 7 Python 72 Knowledge Mathematics Formulas 8 Set 1 Logic 1 Algebra 84 Number Theory 206 Trigonometry 31 Geometry 34 Calculus 67 Engineering Tables 8 Mechanical Rigid Bodies Statics 92 Dynamics 37 Fluid 5 Control Acoustics 19 Natural Sciences Matter 1 Electric 27 Biology 1  | 
Copyright © 2000-2025 Sideway . All rights reserved Disclaimers last modified on 06 September 2019