
Logarithm TheoremPythagorean TheoremCombinatoricsQuadratic EquationsSequence and Series Draft for Information Only
ContentVector Components
Vector Components
A vector is used to represent the magnitude and direction of a vector quantity. A vector quantity, 𝑄, is therefore can be expressed as a simple vector 𝒒. Or in form of a scaled vector by simple geometry operation, that is a scalar 𝑘 times a directional vector 𝒅or the magnitude |𝒒| times a unit directional vector 𝒅. In other words, the study of vector components can only focus on the directional vector irrespective of its magnitude. Components of VectorIn general, the values that are used to represent a vector are called the components of the vector, and the number of components used to define a vector is equal to the number of dimensions of interest.One Dimension
Since a one-dimensional vector always lies along a line, only one value is needed to specify the vector. There is only one component for a one-dimensional vector. For example, 𝒅=(𝑑) Two Dimension
Since a two-dimensional vector always lies in a Cartesian plane, two values are needed to specify the vector. There are two components for a two-dimensional vector. For example, 𝒅=(𝑥,𝑦).
If 𝒅is a unit vector, the components of the vector can be expressed in terms of angles between the vector and coordinate axes, that is 𝑥= 𝒅=( Since the components of a vector is an ordered set, the rectangular Cartesian coordinate system of components 𝑥 and 𝑦 must be arranged in correct order following the right-hand rule. Three Dimension
Since a three-dimensional vector always lies in a Cartesian space, three values are needed to specify the vector. There are three components for a three-dimensional vector. For example, 𝒅=(𝑥,𝑦,𝑧).
If 𝒅is a unit vector, the components of the vector can be expressed in terms of angles between the vector and coordinate axes, that is 𝑥= 𝒅=( Since the components of a vector is an ordered set, the rectangular Cartesian coordinate system of components 𝑥, 𝑦, 𝑧 and must be arranged in correct order following the right-hand rule. Vector in Space
Since a point can be considered as a geometric object in a three dimensional
space, a point can be represented by the coordinates of a coordinate system such
that a vector can be expressed algebraically. The most common system for a three
dimensional space is the rectangular coordinate system called Cartesian coordinate
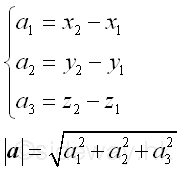
system with three mutually perpendicular straight axes of same scale. A vector 𝒂with initial point 𝐴 and terminal point 𝐵 can be expressed in term of coordinates 𝐴(𝑥1,𝑦1,𝑧1) and 𝐵(𝑥2,𝑦2,𝑧2). The vector 𝒂can also be interpreted as a displacement vector 𝐴𝐵displaced from point 𝐴 to point 𝐵. And the geometry of the directed line segment corresponding to the displacement vector can be specified by the numbers 𝑎1=𝑥2-𝑥1, 𝑎2=𝑦2-𝑦1, and 𝑎3=𝑧2-𝑧1 with respect to point 𝐴. These numbers are called components of the vector 𝒂with respect to the corresponding Cartesian coordinate system because vector 𝒂can be represented by these components. That is
And the length or the magnitude |𝒂| of vector 𝒂can be determined by the Pythagorean theorem geometrically.
As the components 𝑎1, 𝑎2, and 𝑎3 of vector 𝒂are derived from the end points of the vector by subtracting the coordinates of initial point from the coordinates of the terminal point, the components of vector are independent of the choice of the initial point of the vector and are dependent on the magnitude and direction of the vector only. In other words, the components of vector 𝒂is a free vector bounded to point 𝐴 with respect to the corresponding Cartesian coordinate system.
Physically, a free vector can be translated arbitrarily to indicate a vector quantity
at a point having equal vector quantity. The terminal point of the vector
can be determined uniquely once the initial point of the vector is fixed. If the
initial point of a vector is located at the origin, the components of the vector
are then equal to the coordinate of the terminal point with respect to the corresponding Cartesian coordinate system. The vector with initial point bounded at the origin is called position vector. Therefore, any vector in three dimensional space can be
represented by a position vector by translating the initial point of the vector
to the origin. And for a specified Cartesian coordinate system, each vector
in space can be mapped to ordered triple components in one-to-one
relation with respect to the corresponding Cartesian coordinate system. In other words,
two vectors 𝒂and 𝒃are equal if and only if the corresponding component of two vectors are equal. That is 𝑎1=𝑏1, 𝑎2=𝑏2, and 𝑎3=𝑏3. As both the magnitude and the direction of the directed line segment of the corresponding vector can be obtained from the components of the corresponding vector, the geometry of the directed line segment in three dimensional space can also be determined by the ordered triple components of the vector in one-to-one relation with respect to the corresponding Cartesian coordinate system. However, the vector representation of quantity with magnitude and direction is always dependent on the choice of coordinate system. ©sideway ID: 191201202 Last Updated: 12/12/2019 Revision: 0 Ref: References
Latest Updated Links
Nu Html Checker 53 na |
![]() Home 5 Business Management HBR 3 Information Recreation Hobbies 9 Culture Chinese 1097 English 339 Travel 44 Reference 79 Hardware 55 Computer Hardware 260 Software Application 213 Digitization 37 Latex 52 Manim 205 KB 1 Numeric 19 Programming Web 289 Unicode 504 HTML 66 CSS 65 SVG 46 ASP.NET 270 OS 431 DeskTop 7 Python 72 Knowledge Mathematics Formulas 8 Set 1 Logic 1 Algebra 84 Number Theory 206 Trigonometry 31 Geometry 34 Calculus 67 Engineering Tables 8 Mechanical Rigid Bodies Statics 92 Dynamics 37 Fluid 5 Control Acoustics 19 Natural Sciences Matter 1 Electric 27 Biology 1 |
Copyright © 2000-2026 Sideway . All rights reserved Disclaimers last modified on 06 September 2019