
|
`-=[]โจโฉ\;',./~!@#$%^&*()_+{}|:"<>? ๐๐๐๐๐๐๐โ๐๐๐๐๐๐๐๐๐๐๐ ๐ก๐ข๐ฃ๐ค๐ฅ๐ฆ๐ง
ร
โโโรโโ
โยฑโ๊๏นฆโโ โฏ ๐ธ๐นโ๐ป๐ผ๐ฝ๐พโ๐๐๐๐๐โ๐โโโ๐๐๐๐๐๐๐โค๐ด๐ต๐ถ๐ท๐ธ๐น๐บ๐ป๐ผ๐ฝ๐พ๐ฟ๐๐๐๐๐๐
๐๐๐๐๐๐๐๐
โผโฝโพโโโโโ
โโโโโโโ โก โคโฅโฆโงโจโฉโชโซ
โโโโโโ โโโโ
โโ ๐ผ๐ฝ๐พ๐ฟ๐๐๐๐๐๐
๐๐๐๐๐๐๐๐๐๐๐๐๐๐
โโโโ
โฆฐโโโโโโดโต โโโโโโโ โงโจโฉโช
โซโฌโญโฎโฏโฐโฑโฒโณ โฅโฎโฏโฐโฑ โ โฒ โณ โด โ โ สน สบ โต โถ โท
๏น ๏น ๏น ๏น ๏ธน ๏ธบ ๏ธป ๏ธผ ๏ธ ๏ธ ๏ธฟ ๏น ๏ธฝ ๏ธพ ๏น ๏น ๏ธท ๏ธธ โ โ โด โต โ โ โ โก
โโโโโคโฆโฅโงโโโโโโโฒโผโโถโบโปโฒโณ โผโฝโพโฟโโโโโโ
โโ โโโโโโโโโโโโโโโณโฅขโฅฃโฅคโฅฅโฅฆโฅงโฅจโฅฉโฅชโฅซโฅฌโฅญโฅฎโฅฏ
Draft for Information Only
Content
Approximation of Accumulative Physical Quantity
Approximation of Accumulative Physical QuantitySimilarly to the sum of accumulative physical quantity, physical quantity related to the length of function can also be determine by integration when the physical qunatity can be expressed as infinitesimal elements.
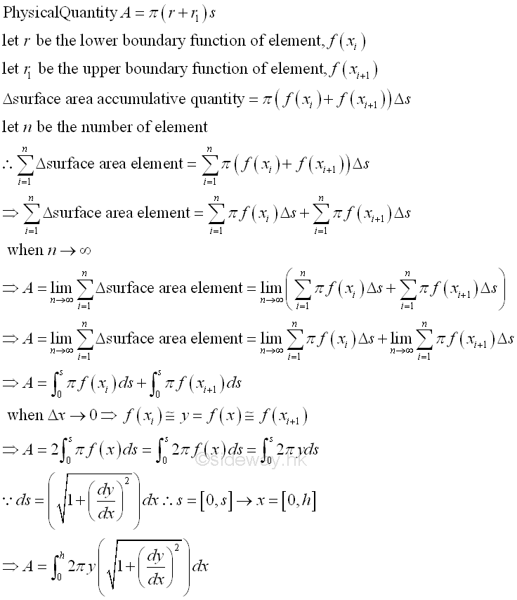
Area of Surface of RevolutionSimilar to solid of revolution, a surface of revolution is formed by rotating a curve about an axis. In solid of revolution, the infinitesimal element is approximated by πy2Δx. And the infinitesimal element can also be determined in the same way. The most simple surface of revolution is the circular cylinderical surface by rotating a horizontal line. The lateral surface area of a circular cylinder can be considered as the extrusion of the circular perimeter along the length of the cylinder. The flat pattern is a rectangular sheet and is equal to 2πrL. Graphically
When the rotating curve is a sloped line with one end on the axis of rotation, the surface of revolution is a right conical surface. Since the slant height is the same for a right lateral conical surface, the flat pattern is a circular sector with radius of the slant height and the arc length of the circular sector is equal to the circumference of the cone base. Graphically
Mathematically, for the right conical surface, the lateral surface area is
By making use of similar triangles. The lateral surface of a conical frustum is
An infinitesimal lateral surface element is similar to the lateral surface of a conical frustum. Imply
Lateral Surface Areas of Common ShapesLateral Surface Area of Cylinder
Lateral surface area of cylinder by integration is
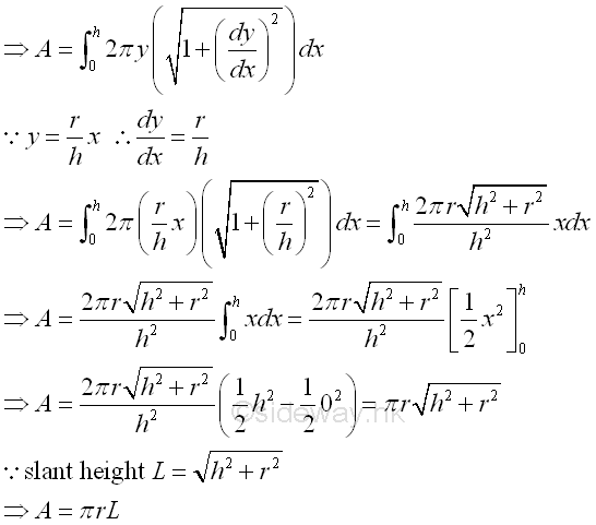
Lateral Surface Area of Cone
Lateral surface area of cone by integration is
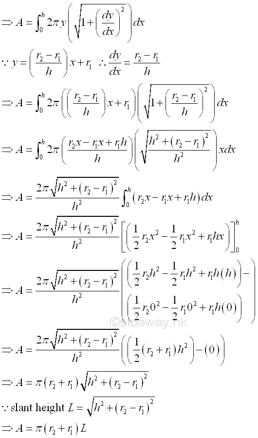
Lateral Surface Area of Conical Frustum
Lateral surface area of conical frustum by integration is
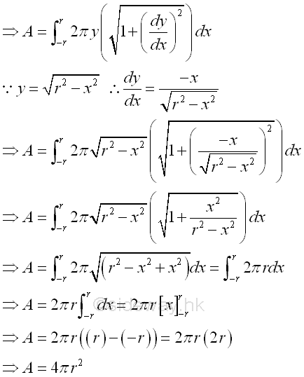
Surface Area of Sphere
Surface area of sphere by integration is
ยฉsideway ID: 120100018 Last Updated: 1/14/2012 Revision: 0 Ref: References
Latest Updated Links
Nu Html Checker 53 na |
![]() Home 5 Business Management HBR 3 Information Recreation Hobbies 9 Culture Chinese 1097 English 339 Travel 38 Reference 79 Hardware 55 Computer Hardware 259 Software Application 213 Digitization 37 Latex 52 Manim 205 KB 1 Numeric 19 Programming Web 290 Unicode 504 HTML 66 CSS 65 Selector 1 SVG 46 ASP.NET 270 OS 447 MS Windows DeskTop 7 Python 72 Knowledge Mathematics Formulas 8 Set 1 Logic 1 Algebra 84 Number Theory 207 Trigonometry 31 Geometry 34 Calculus 67 Engineering Tables 8 Mechanical Rigid Bodies Statics 92 Dynamics 37 Fluid 5 Control Acoustics 19 Natural Sciences Matter 1 Electric 27 Biology 1 |
Copyright © 2000-2026 Sideway . All rights reserved Disclaimers last modified on 06 September 2019