
|
`-=[]โจโฉ\;',./~!@#$%^&*()_+{}|:"<>? ๐๐๐๐๐๐๐โ๐๐๐๐๐๐๐๐๐๐๐ ๐ก๐ข๐ฃ๐ค๐ฅ๐ฆ๐ง
ร
โโโรโโ
โยฑโ๊๏นฆโโ โฏ ๐ธ๐นโ๐ป๐ผ๐ฝ๐พโ๐๐๐๐๐โ๐โโโ๐๐๐๐๐๐๐โค๐ด๐ต๐ถ๐ท๐ธ๐น๐บ๐ป๐ผ๐ฝ๐พ๐ฟ๐๐๐๐๐๐
๐๐๐๐๐๐๐๐
โผโฝโพโโโโโ
โโโโโโโ โก โคโฅโฆโงโจโฉโชโซ
โโโโโโ โโโโ
โโ ๐ผ๐ฝ๐พ๐ฟ๐๐๐๐๐๐
๐๐๐๐๐๐๐๐๐๐๐๐๐๐
โโโโ
โฆฐโโโโโโดโต โโโโโโโ โงโจโฉโช
โซโฌโญโฎโฏโฐโฑโฒโณ โฅโฎโฏโฐโฑ โ โฒ โณ โด โ โ สน สบ โต โถ โท
๏น ๏น ๏น ๏น ๏ธน ๏ธบ ๏ธป ๏ธผ ๏ธ ๏ธ ๏ธฟ ๏น ๏ธฝ ๏ธพ ๏น ๏น ๏ธท ๏ธธ โ โ โด โต โ โ โ โก
โโโโโคโฆโฅโงโโโโโโโฒโผโโถโบโปโฒโณ โผโฝโพโฟโโโโโโ
โโ โโโโโโโโโโโโโโโณโฅขโฅฃโฅคโฅฅโฅฆโฅงโฅจโฅฉโฅชโฅซโฅฌโฅญโฅฎโฅฏ
Draft for Information Only
ContentโGeneral Equations of Kinematics
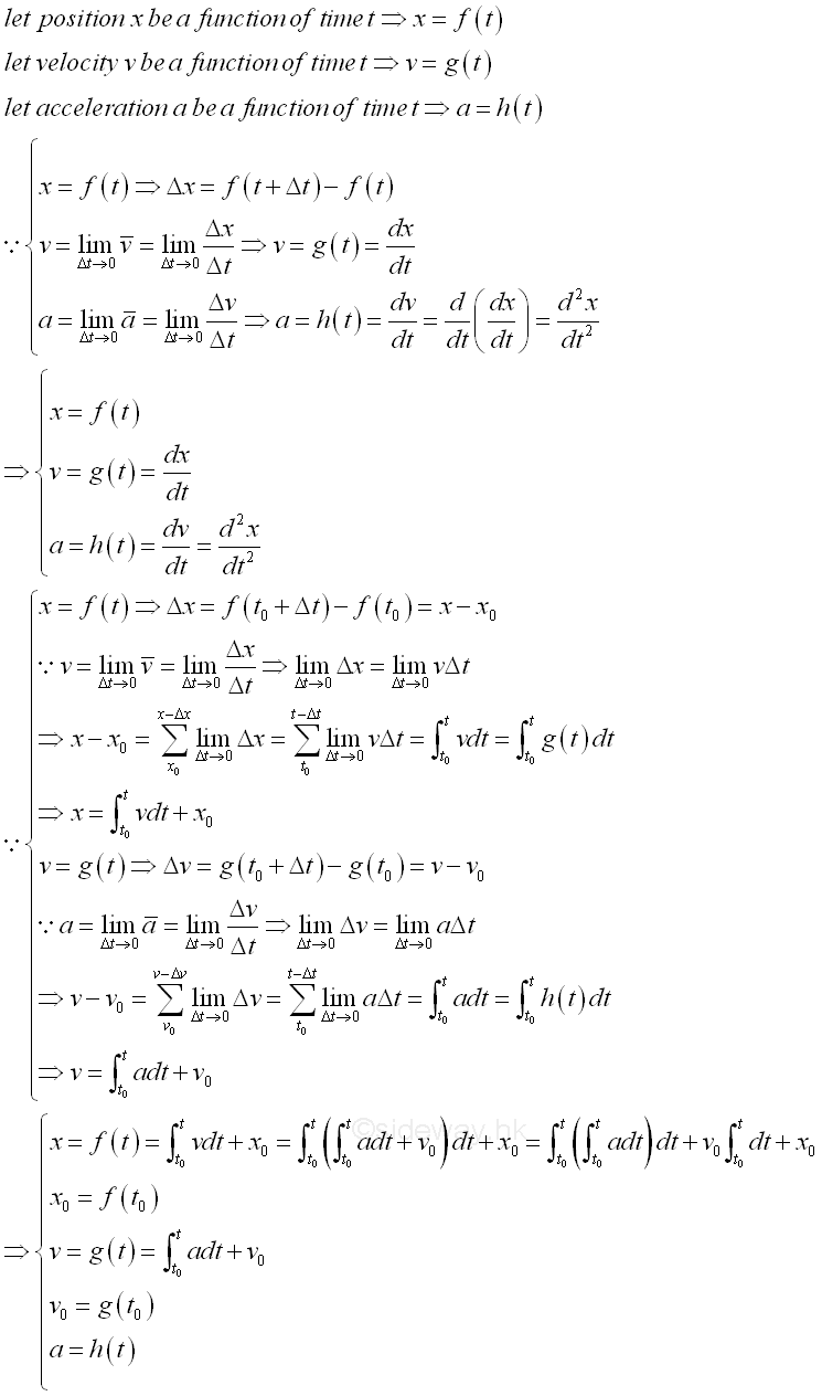
General Equations of KinematicsFrom the instantaneous situation, similar equations of 1D kinematics can be used to calculate the unknown quantity from the known quantities for 1D motion. Equations of 1D KinematicsAcceleration as a function of time tThe motion of an object is described with respect to time. From the Instantaneous Situations, general equations of 1D kinematics are derived to calculate unknown quantity for the motion of an object as following.
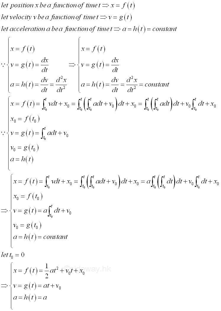
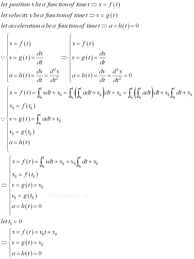
For uniform motion where a=0, imply.
For uniformly accelerated motion where a=constant, imply.
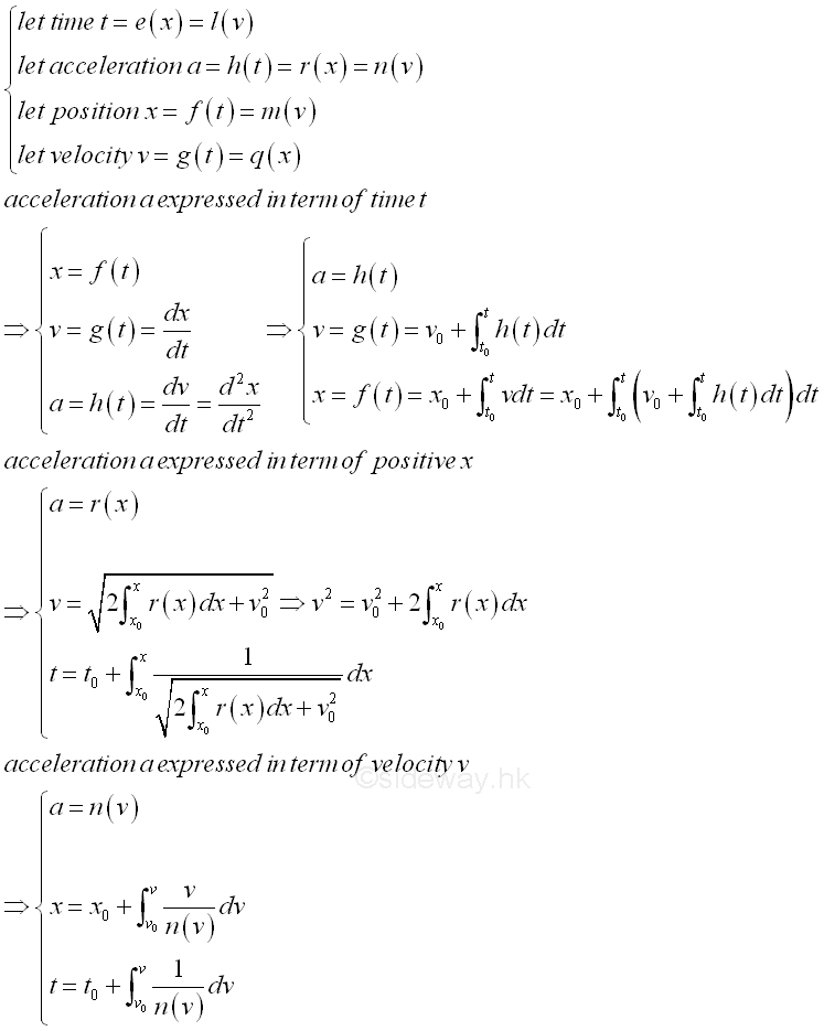
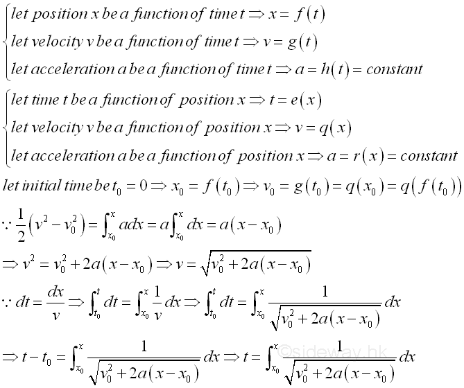
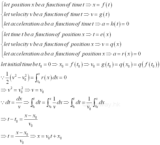
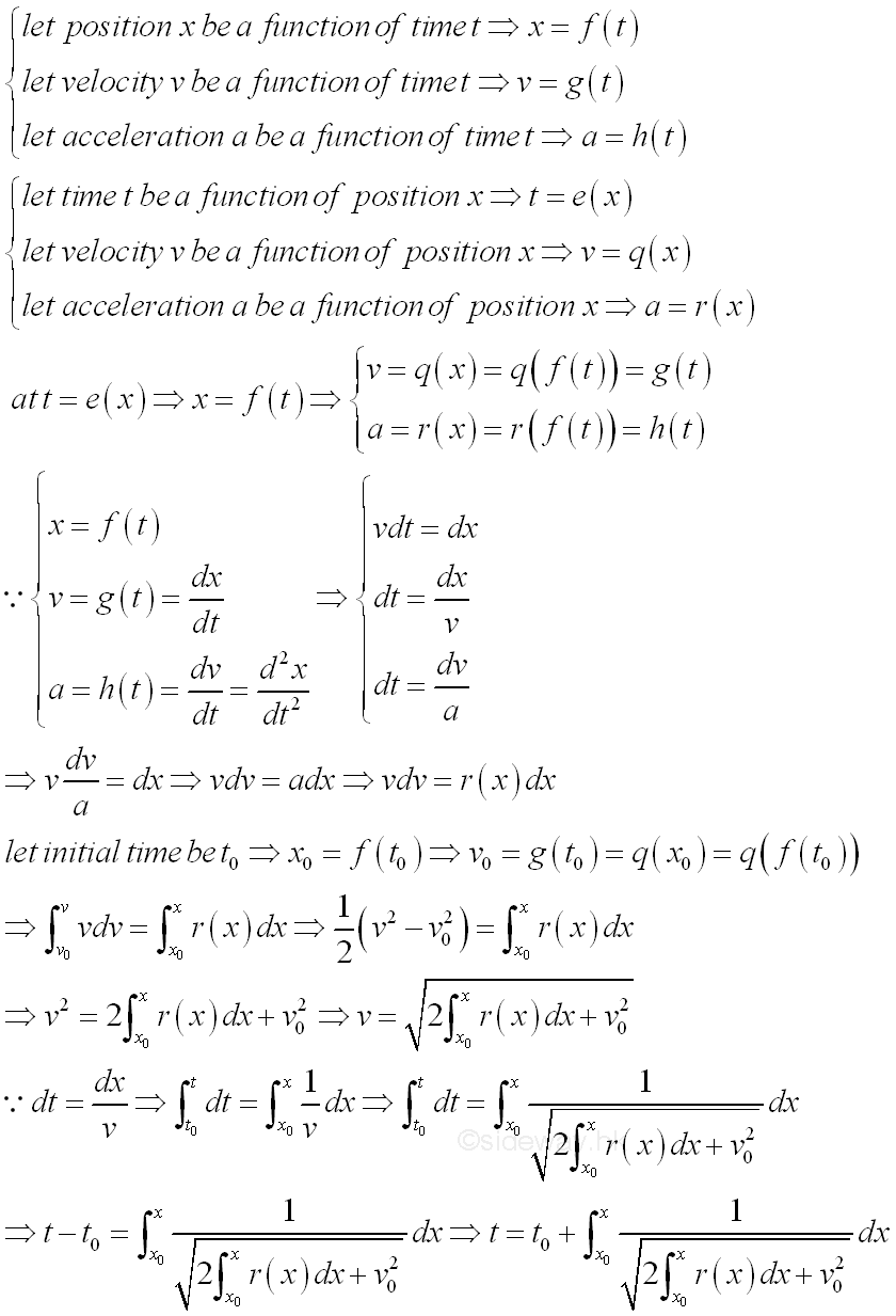
Acceleration as a function of positionWhen position is a function of time, the motion of an object can also be described with respect to position, if time t can also be expressed as a continuous function of position x. From the instantaneous situations, both the instantaneous velocity and instantaneous acceleration with respect to the time t are also related to same position x as position x is a function of time t.
For uniform motion where a=0, imply.
For uniformly accelerated motion where a=constant, imply.
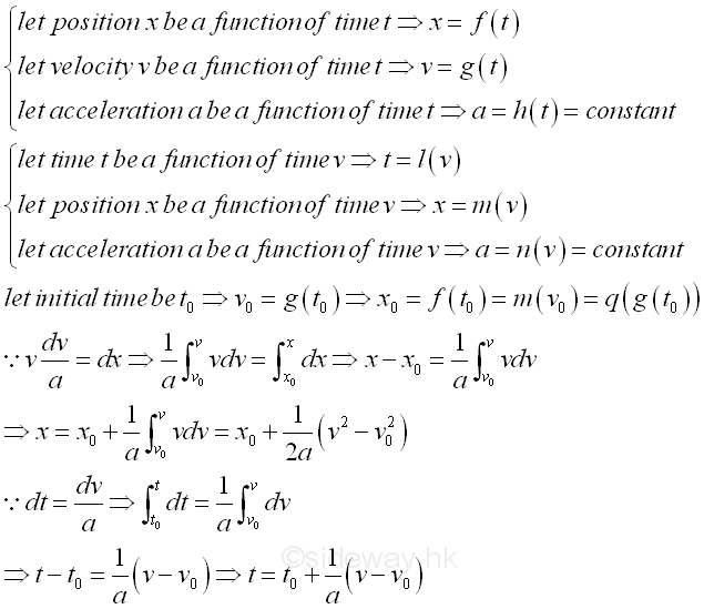
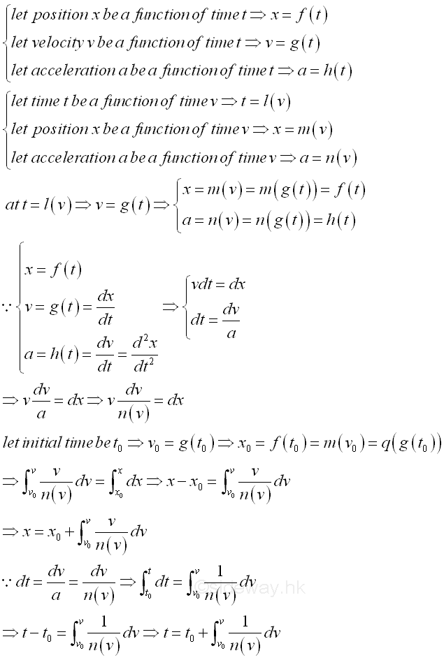
Acceleration as a function of velocityWhen velocity is a function of time, the motion of an object can also be described with respect to velocity, if time t can also be expressed as a continuous function of velocity v. From the instantaneous situations, both the position and instantaneous acceleration with respect to the time t are also related to same velocity v as velocity x is a function of time t.
For uniform motion where a=0, imply.
For uniformly accelerated motion where a=constant, imply.
General Equations of 1D KinematicsGeneral equations of 1D kinematics are.
ยฉsideway ID: 140200014 Last Updated: 2/14/2014 Revision: 0 Ref: References
Latest Updated Links
Nu Html Checker 53 na |
![]() Home 5 Business Management HBR 3 Information Recreation Hobbies 9 Culture Chinese 1097 English 339 Travel 51 Reference 79 Hardware 55 Computer Hardware 260 Software Application 213 Digitization 37 Latex 52 Manim 205 KB 1 Numeric 19 Programming Web 290 Unicode 504 HTML 66 CSS 65 Selector 1 SVG 46 ASP.NET 270 OS 447 MS Windows DeskTop 7 Python 72 Knowledge Mathematics Formulas 8 Set 1 Logic 1 Algebra 84 Number Theory 207 Trigonometry 31 Geometry 34 Calculus 67 Engineering Tables 8 Mechanical Rigid Bodies Statics 92 Dynamics 37 Fluid 5 Control Acoustics 19 Natural Sciences Matter 1 Electric 27 Biology 1 |
Copyright © 2000-2026 Sideway . All rights reserved Disclaimers last modified on 06 September 2019