Product of Matrices
Product of Matrices,

Let
,
and
,
for matrix
A
of order m x n,and matrix
B
of order p x q, product of matrices exist if and only if
. Then the product of matrices is
where the order of matrix
D
is x by y and
,
.
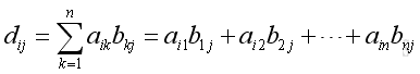
The elements of
D are
Or
For example,
From the definition of matrix multiplication, it is possible to have
without
or
and
without
or
.
Properties of Matrix Multiplication
If both matrix B
premultiplied by matrix
A,
and matrix
B
postmultipled by matrix
A,
are defined,
. In general, matrix multiplication is not commutative.
. Multiplication of matrices is associative.
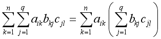
For matrix
A
of order m x n, matrix
B
of order p x q and matrix
C
of order s x t, product of matrices exist if and only if
and
. Then element of
is
And the element of
is
Rearrange the order of terms
And equals to the element of
or
.
Matrix multiplication is distributive with respect to addition.
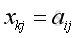
If
, then
and
.
If A
and D
are of same order and
B
and C
are square matrices, then
A,
B,
C
and D
are all square matrices.
Since
equals
and the element is
And equals to the element of
.
Identity Matrix
The identity under matrix multiplication is the identity matrix, that is
Let
,
and
then
and
In order to have the same order as
A,
for element x, order of k should equal to i and for
element y, order of l should equal to j, and therefore
the identity matrix must be square.
According to the equality of matrices,
only when
,
and
only when
.
The form of identity matrix is
.
If
, that is
, then
A
must be a square matrix.
And therefore it is also called unit matrix.
Inverse Matrix
If A
has an multiplication inverse
and
then
A
must be square.
If a matrix has an inverse, the inverse is unique.
Assume both B
and C
are inverses of A,
then
and
.
Premultiply first equation by
C,
imply
.
From second equation, imply
and the inverse is unique.
Division of matrices has not been defined, the multiplying of the
reciprocal of a matrix can be replaced by multiplying the inverse of the matrix.
Therefore solving
B
in
can be obtained by premultiplying
.
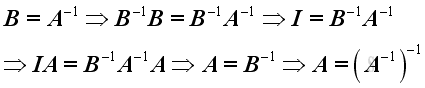
Let
, If both matrices have an inverse, then
. That is
The inverse of a matrix's inverse equals to the matrix itself,
. Let
then