
|
Draft for Information Only
Content Wave Reflection inside Enclosures, 3D
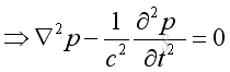
Wave Reflection inside Enclosures, 3DThe 3D wave equation is
Assume harmonic sound wave imply
Take the time differential operation, imply
And get the Helmoltz equation,
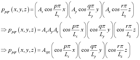
Assume the pressure is of format:
substitute the pressure function into the helmoltz equation, and take the Laplacian differential operation:
let the dispersion equation :
substitute into the Helmoltz equation:
By separating the variable, imply:
Assume the corresponding solution of the equation of the form,
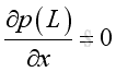
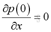
Assume the rectangular enclosure are with rigid walls, the boundary conditions at 6 walls are with particle velocity equals to zero, imply
and
From the equation of momentum conservation in x direction
At x = 0 or x=Lx, u=0 at all time, therefore the time derivative of u is zero also, imply:
Therefore at x=0 and x=Lx, imply :
From boundary condition at x=0, imply:
From boundary condition at x=Lx, imply:
Substitute kx, A and B into the pressure function, imply:
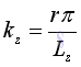
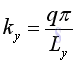
Similarly ky, kz,are:
And the corresponding pressure function in y and z direction are:
Substitute all individual pressure functions into the total pressure function is:
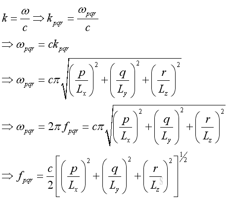
Substitute all individual wave number into the combined wave number is:
Therefore the frequency is :
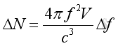
Number of ModesThe number of modes increases dramatically with the increase of frequency and with the volume of the cavity and can be estimated by.
©sideway ID: 101000022 Last Updated: 10/20/2010 Revision: 0 Ref: References
Latest Updated Links
Nu Html Checker 53 na |
![]() Home 5 Business Management HBR 3 Information Recreation Hobbies 9 Culture Chinese 1097 English 339 Travel 44 Reference 79 Hardware 55 Computer Hardware 260 Software Application 213 Digitization 37 Latex 52 Manim 205 KB 1 Numeric 19 Programming Web 289 Unicode 504 HTML 66 CSS 65 SVG 46 ASP.NET 270 OS 431 DeskTop 7 Python 72 Knowledge Mathematics Formulas 8 Set 1 Logic 1 Algebra 84 Number Theory 206 Trigonometry 31 Geometry 34 Calculus 67 Engineering Tables 8 Mechanical Rigid Bodies Statics 92 Dynamics 37 Fluid 5 Control Acoustics 19 Natural Sciences Matter 1 Electric 27 Biology 1 |
Copyright © 2000-2026 Sideway . All rights reserved Disclaimers last modified on 06 September 2019