
Property of Definite IntProperty of Indefinite IntBy Anti-DifferentiationBy SubstitutionBy Parts Draft for Information Only 
    Content
Rules of Integration for Indefinite 
Integral
    Rules of Integration for Indefinite IntegralMethod of Partial Fractions for Indefinite Integral 
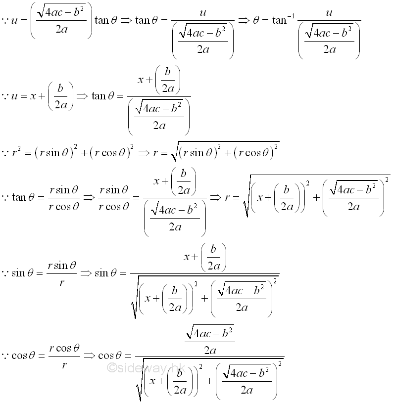
where Φ(x) and φ(x) are rational, integral, algebraical functions of x The integrand after denominator factorization is  
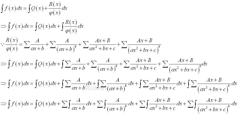
    Integration by Partial FractionsThe method of integration by partial fractions can be expressed as  
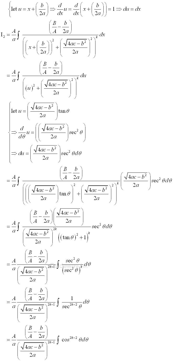
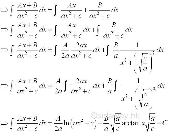
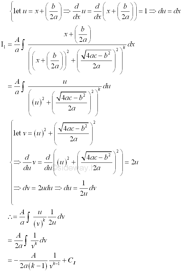
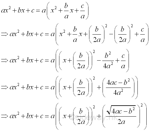
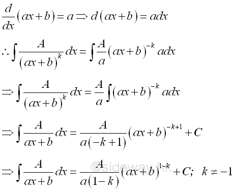
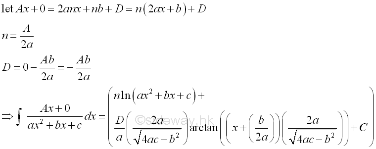
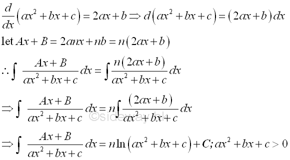
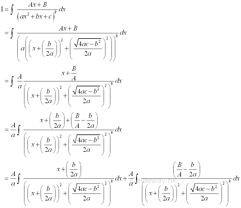
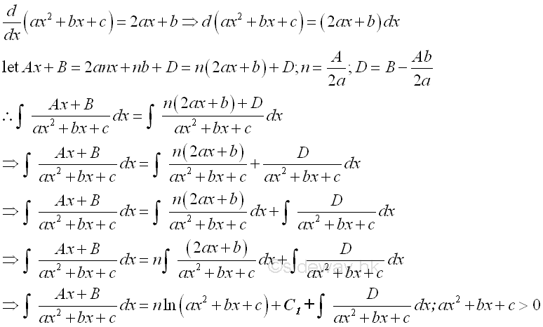
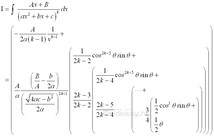
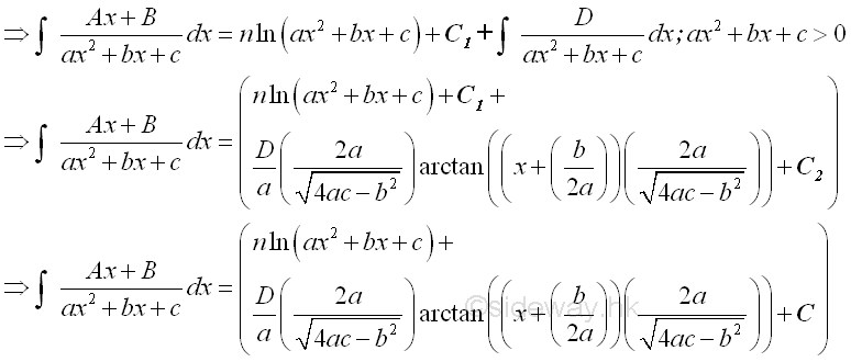
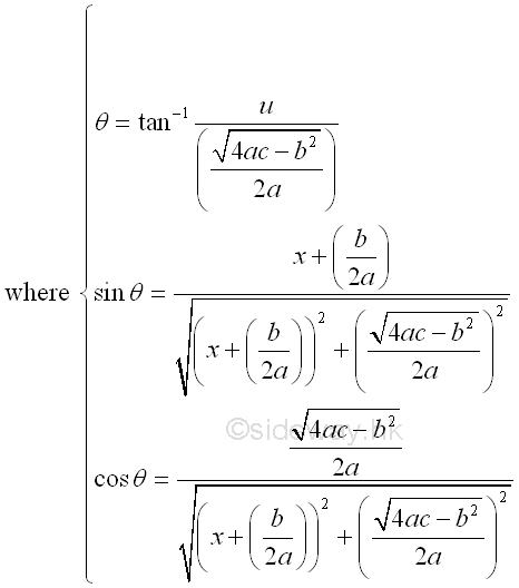
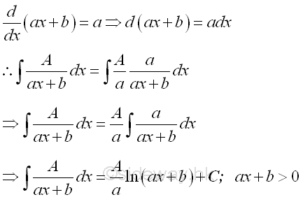
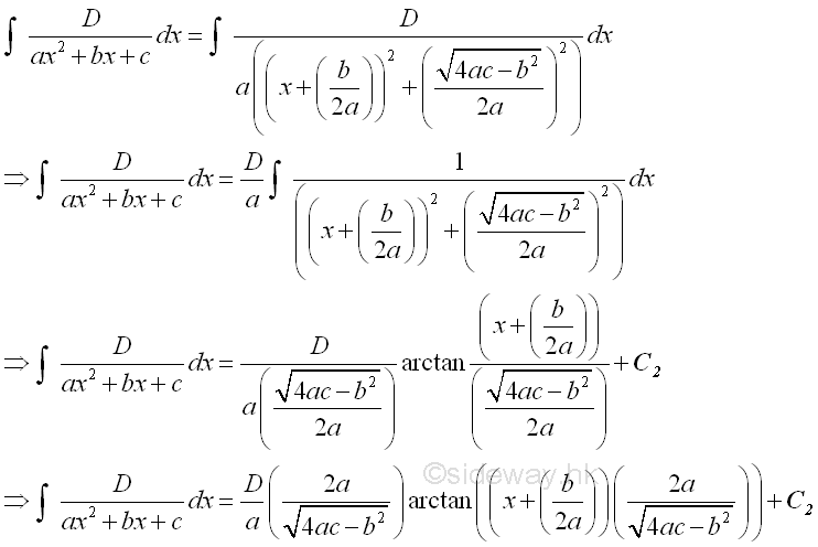
            The integral of polynomial Q(x) can be obtained by making use of the constant multiple, sum of function properties of intergration and applying the anti-differentiation of the derivative of polynomial. The integration of the four case of fraction factors after partial fractions are: 
 ©sideway ID: 111000033 Last Updated: 10/30/2011 Revision: 0 Ref: References 
 Latest Updated Links 
     Nu Html Checker  53  na  | 
    ![]() Home 5 Business Management HBR 3 Information Recreation Hobbies 8 Culture Chinese 1097 English 339 Travel 18 Reference 79 Hardware 27 Computer Hardware 259 Software Application 213 Digitization 37 Latex 52 Manim 205 KB 1 Numeric 19 Programming Web 289 Unicode 504 HTML 66 CSS 65 SVG 46 ASP.NET 270 OS 431 DeskTop 7 Python 72 Knowledge Mathematics Formulas 8 Set 1 Logic 1 Algebra 84 Number Theory 206 Trigonometry 31 Geometry 34 Calculus 67 Engineering Tables 8 Mechanical Rigid Bodies Statics 92 Dynamics 37 Fluid 5 Control Acoustics 19 Natural Sciences Matter 1 Electric 27 Biology 1  | 
Copyright © 2000-2025 Sideway . All rights reserved Disclaimers last modified on 06 September 2019