
Summation of Accumulative Physical Quantity Draft for Information Only
Content
Average of Accumulative Physical Quantity
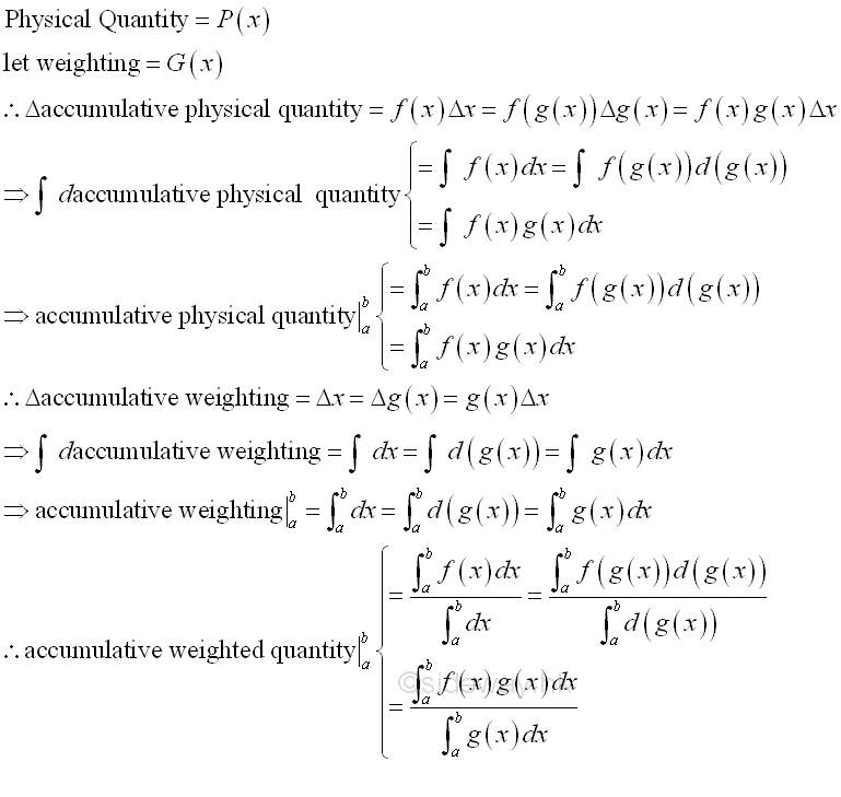
Average of Accumulative Physical QuantityThe average value of a continuous variable is one of the special case of the weighted average of a continuous variable when the weighting of all possible values are equal. In general, a weighted average of accumulative physical quantity can be determined by integration if the physical quantity can be expressed as a function of the interested weighting and quantified in the form of infinitesimal elements. imply
Centrod and Center of Mass/gravityCentrod of an object is the geometric center of the object shape on which the object is geometrically balanced. And the center of gravity or center of mass is related to gravitation and the density function of the object. The coordinates of the center point can be determined by moment about a axis by equating the corresponding moment of all the elemental weights about the axis equal to the moment of the whole object about the axis. Imply
Centrod of a CurveWhen the cross-sectional area of an object is neglectable, the centroid of the object depends on its shape and the centroid is reduced to
Centroid of a horizontal straight wire
For a horizontal straight wire, the moment about x axis is zero, imply mean y is zero. Imply mean x is
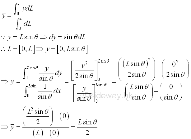
Centroid of a sloped straight wire
For a sloped straight wire, Imply mean x is
For a sloped straight wire, Imply mean y is
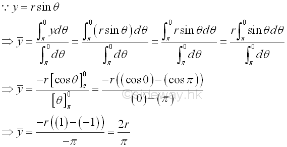
Centroid of a Semicircular arc wire
For a circular wire, the centroid is equal to the center of the circle. But for a horizontal semicircular arc with centre at the origin, the moment about y axis is zero, imply mean x is zero. Imply mean y is
Express y in terms of θ. Imply mean y is
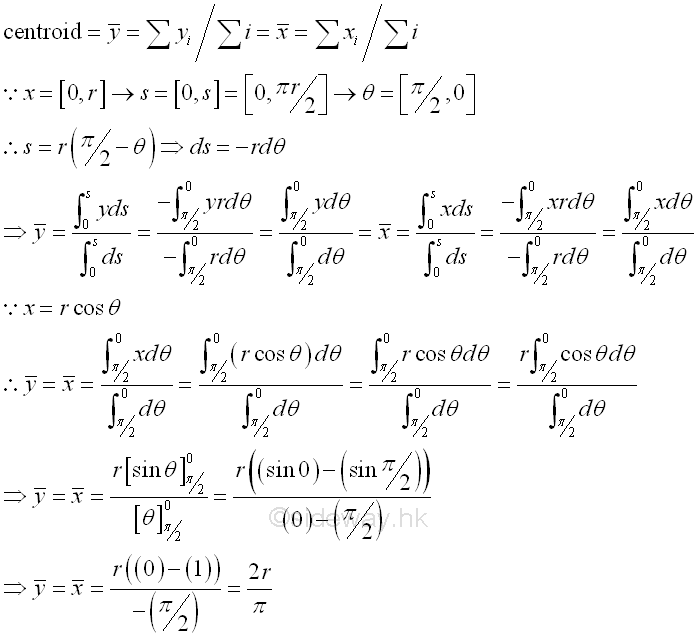
Centroid of a Quarter-circular arc wire
For a quarter-circular wire, the centroid is symmetry about the angle bisector, the moments about x axis and y axis are the same. imply mean x equal to mean y and is equal to
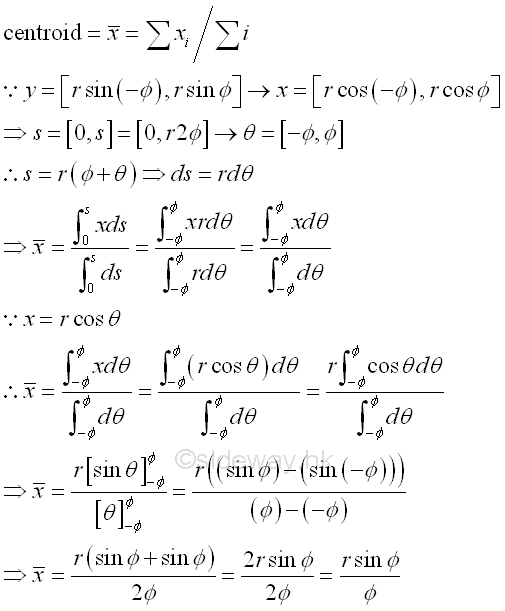
Centroid of a circular arc wire
For a circular arc wire, the centroid is symmetry about the angle bisector, x axis. The moments about x axis is zero, imply mean y is zero. Imply mean x is
©sideway ID: 120100011 Last Updated: 1/10/2012 Revision: 0 Ref: References
Latest Updated Links
Nu Html Checker 53 na |
![]() Home 5 Business Management HBR 3 Information Recreation Hobbies 9 Culture Chinese 1097 English 339 Travel 36 Reference 79 Hardware 54 Computer Hardware 259 Software Application 213 Digitization 37 Latex 52 Manim 205 KB 1 Numeric 19 Programming Web 289 Unicode 504 HTML 66 CSS 65 SVG 46 ASP.NET 270 OS 431 DeskTop 7 Python 72 Knowledge Mathematics Formulas 8 Set 1 Logic 1 Algebra 84 Number Theory 206 Trigonometry 31 Geometry 34 Calculus 67 Engineering Tables 8 Mechanical Rigid Bodies Statics 92 Dynamics 37 Fluid 5 Control Acoustics 19 Natural Sciences Matter 1 Electric 27 Biology 1 |
Copyright © 2000-2026 Sideway . All rights reserved Disclaimers last modified on 06 September 2019