
Summation of Accumulative Physical Quantity 1 Draft for Information Only
Content
Average of Accumulative Physical Quantity
Average of Accumulative Physical QuantityIn general, a weighted average of accumulative physical quantity can be determined by integration if the physical quantity can be expressed as a function of the interested weighting and quantified in the form of infinitesimal elements. Besides the centroid of a curve, the centroid of an area can also determined by integration also. Centrod of an AreaFor an flat houmogeneous plate with uniform thickness, the centroid of the plate depends on its shape and the centroid is reduced to
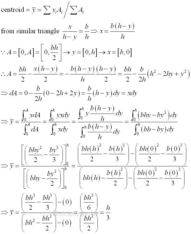
Centroid of a Triangular area
For a triangular area with base b and height h, the moment along x axis direction is zero about the median, imply mean x lies on the median. For mean y is
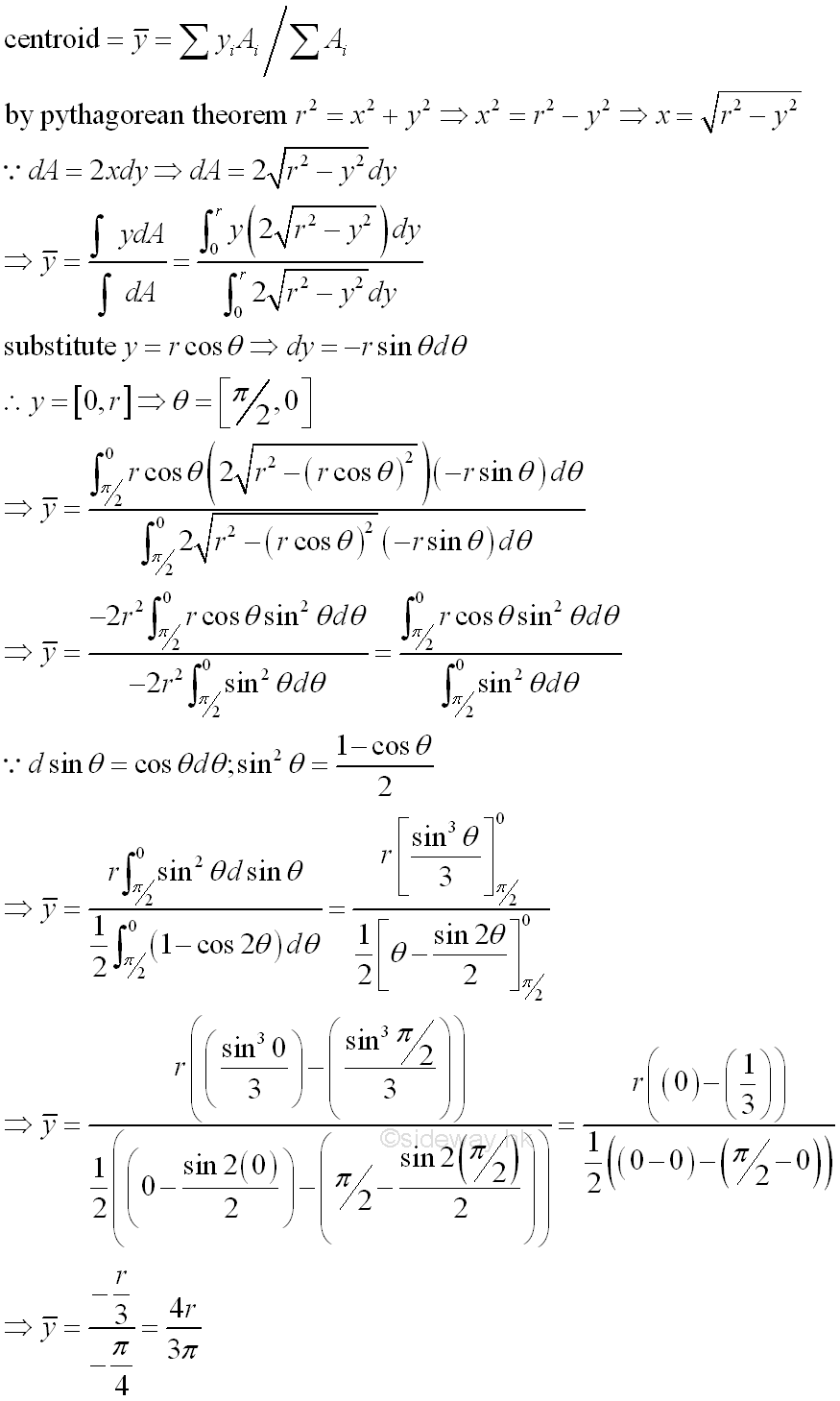
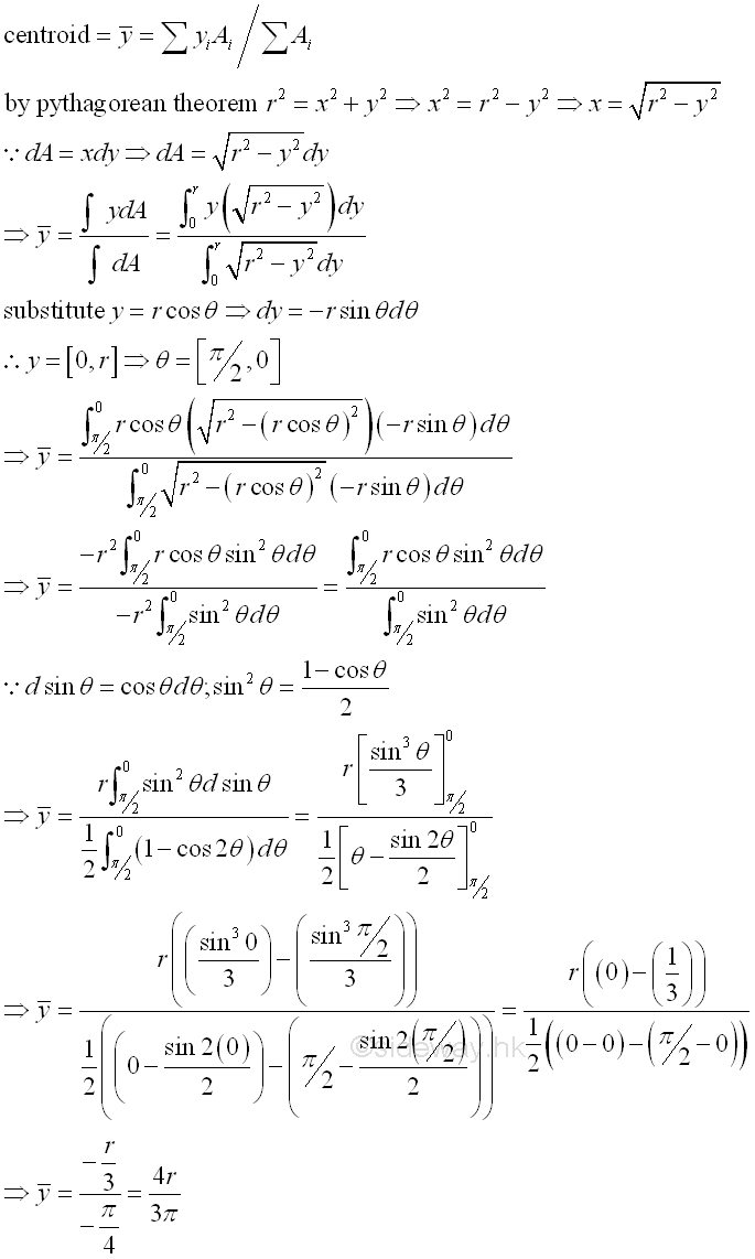
Centroid of a Semicircular Area
For a semicircular area, due to symmetry about y axis,the centroid lies on the y axis. Imply mean y is
Centroid of a Quarter-circular area
For a quarter-circular area, the centroid is symmetry about the angle bisector, the moments about x axis and y axis are the same. imply mean x equal to mean y and is equal to
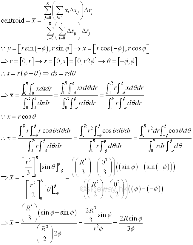
Centroid of a circular arc area
For a circular arc area, the centroid is symmetry about the angle bisector, x axis. The moments about x axis is zero, imply mean y is zero. The determination of mean x can make use of the moment of a circular arc wire. Imply mean x is
©sideway ID: 120100012 Last Updated: 1/10/2012 Revision: 0 Ref: References
Latest Updated Links
Nu Html Checker 53 na |
![]() Home 5 Business Management HBR 3 Information Recreation Hobbies 9 Culture Chinese 1097 English 339 Travel 36 Reference 79 Hardware 54 Computer Hardware 259 Software Application 213 Digitization 37 Latex 52 Manim 205 KB 1 Numeric 19 Programming Web 289 Unicode 504 HTML 66 CSS 65 SVG 46 ASP.NET 270 OS 431 DeskTop 7 Python 72 Knowledge Mathematics Formulas 8 Set 1 Logic 1 Algebra 84 Number Theory 206 Trigonometry 31 Geometry 34 Calculus 67 Engineering Tables 8 Mechanical Rigid Bodies Statics 92 Dynamics 37 Fluid 5 Control Acoustics 19 Natural Sciences Matter 1 Electric 27 Biology 1 |
Copyright © 2000-2026 Sideway . All rights reserved Disclaimers last modified on 06 September 2019