
TOCForceMomentCoupleSystem of ForcesStatic EquilibriumStructure Analysis 2D Plane Body Center of Gravity, Center of Mass, & CentroidFirst Moment of 3D BodyCentroid of 3D Body by Integration Draft for Information Only 
    Content
        Centroid 
        of Volume by Geometric Decomposition 
    
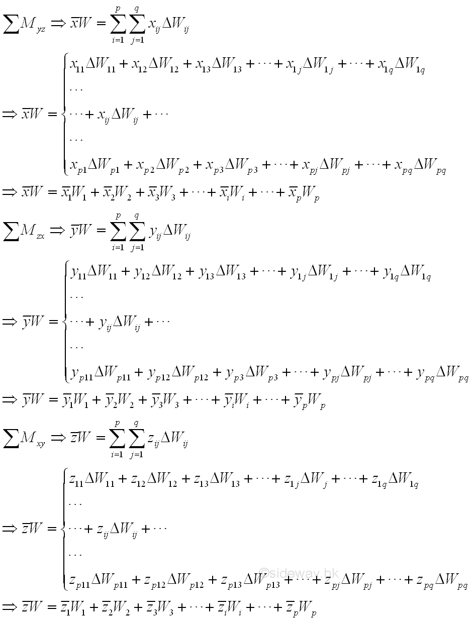
    Centroid of Volume by Geometric DecompositionBy denoting the position of the element of a 3D body relative to the coordinate system as xi,yi,zk, the coordinates x, y, z , of the center of gravity of the plane body where the resultant force W applied can be determined by equating the moment of the resultant force W about the yz plane, zx plane and xy plane and the corresponding mements of elements of the 3D body about the coordinate axis respectively. Imply.  
    Therefore the coordinates x , y , and z of the center of gravity of the plane body is.  
    If a 3D body can be divided into some common 3D bodys, the 3D body can be considered as a composite 3D body. For a composite 3D body, the cooresponding mements of elements of the plane body can also be grouped according to the composition of the 3D body. Imply  
    For a homogeneous 3D body, the first moment of the 3D body volume is  
    Centroids of Composite 3D BodyCentroid of composite 3D body 1 
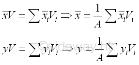
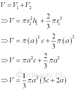
    For example, the signed volume of a composite 3D body bounded by surfaces in rectangular form , Imply  
    The composite 3D volume can be divided into two common shapes. Therefore, centroid of the bounded volume by concept of composite 3D body is  
    The volume of the 3D body is  
    Coordinate x of centroid The first moment of area can be either positive and negative. The centroid of volume 1 is located to the positive side of the yz plane, the first moment of volume is positive. Since the centroid of volume 2 is located to the negative side of the yz plane, the first moment of area is negative and the negative sign is usually assigned to the x coordinate of the centroid of volume 2. Imply  
    Similarly if the coordinate x of centroid of 3D volume is positive, the coordinate x of the centroid is located to the positive side of yz plane. Coordinate y and z of centroid By symmetry, the coordinate y and z of centroid lie on the x axis, the line of symmetry. Centroid of composite 3D body 2Since the first moment of volume of a hole can be considered as the negative sense of the first moment of volume by assuming the first moment of volume of the same volume of negative sense. Therefore the first moment of volume of a hole is negative. The negative sign is usually assigned to the volume of the hole and the volume of a hole is called negative volume.  
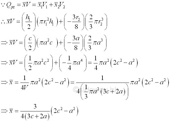
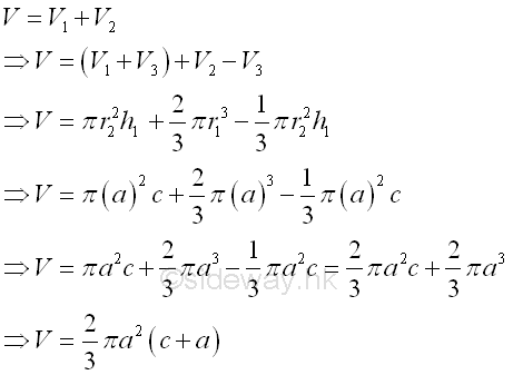
    For example, the signed volume of a composite 3D volume bounded by surfaces in rectangular form , Imply  
    The 3D volume body can be divided into common shapes. Therefore, centroid of the bounded voulme by concept of composite 3D volume body is  
    The volume of 3D body is  
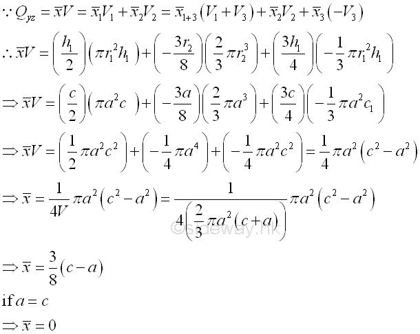
    Coordinate x of centroid The first moment of volume can be either positive and negative. The centroid of volume 1 plus volume 3 is located to the positive side of the yz planes, the first moment of volume is positive. Since the centroid of volume 2 is located to the negative of the yz planes, the first moment of volume is negative and the negative sign is usually assigned to the x coordinate of the centroid of volume 1. And for the centroid of hole, negative volume 3 is located to the positive side of the yz planes, the coordinate of the centroid of volume 3 is positive but the sense of the volume is negative. Imply  
    If c is equal to a, the coordinate x of centroid of volume of the 3D body is located on the origin 0 of x axis. Coordinate y and z of centroid By symmetry, the coordinate y and z of centroid lie on the x axis, the line of symmetry. 
 ©sideway ID: 120700004 Last Updated: 7/12/2012 Revision: 0 Ref: References 
 Latest Updated Links 
     Nu Html Checker  53  na  | 
    ![]() Home 5 Business Management HBR 3 Information Recreation Hobbies 8 Culture Chinese 1097 English 339 Travel 18 Reference 79 Hardware 26 Computer Hardware 259 Software Application 213 Digitization 37 Latex 52 Manim 205 KB 1 Numeric 19 Programming Web 289 Unicode 504 HTML 66 CSS 65 SVG 46 ASP.NET 270 OS 431 DeskTop 7 Python 72 Knowledge Mathematics Formulas 8 Set 1 Logic 1 Algebra 84 Number Theory 206 Trigonometry 31 Geometry 34 Calculus 67 Engineering Tables 8 Mechanical Rigid Bodies Statics 92 Dynamics 37 Fluid 5 Control Acoustics 19 Natural Sciences Matter 1 Electric 27 Biology 1  | 
Copyright © 2000-2025 Sideway . All rights reserved Disclaimers last modified on 06 September 2019