
TOCForceMomentCoupleSystem of ForcesStatic EquilibriumStructure AnalysisDistributed ForceFriction ForceInternal Force Second Moment of an AreaMoment of Inertia of Plane Area Draft for Information Only
ContentSecond Moment of Composite Area
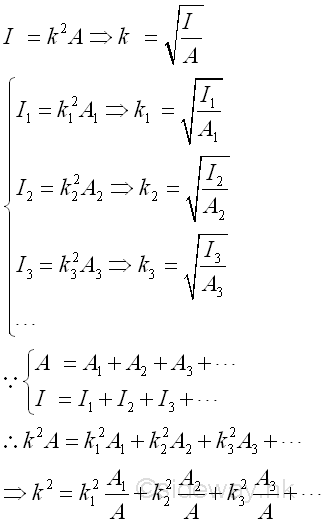
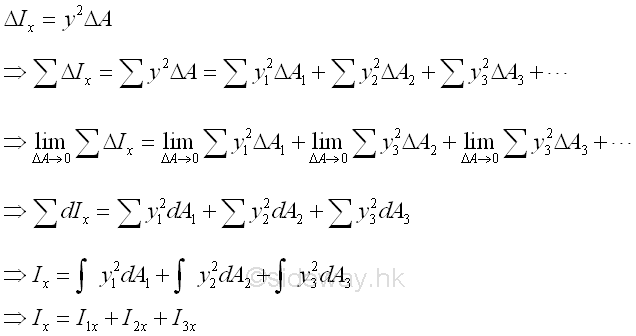
Second Moment of Composite AreaBy definition, second moment of an area about an axis is equal to the summation of the products of the square of the distance between the elemental area and the reference axis, and the elemental area over an area. If these elemental areas can be grouped into known component areas A1, A2, A3, ...., the second moment I of the composite area A with respect to an axis can be obtained by the summation of the second moments, I1, I2, I3, .... of these component areas A1, A2, A3, ...., about the same reference axis respectively. Imply
The component area of a composite area is represented by a positive area while a hollow area is represented by a negative area. Second Moment of Circular Area Example 1
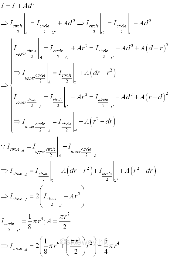
Since a circular area can be considered as two semi-circular area or four quarter-circular area, the second moment of a circular area about the centroidal axis x' can be expressed in terms of the second moments of semi-circular areas or quarter-circular areas. As for two semi-circular areas,
Because of the square of the distance from the reference axis x', the second moments of the two semi-circular areas about axis x' are the same on two opposite sides of the reference axis. Imply
As four quarter-circular areas,
Because of the square of the distance from the reference axis y', the second moments of the four quarter-circular areas about axis y' are the same on two opposite sides of the reference axis. Imply
Besides, the polar moment of an area can also be obtained similarly. Because of the square of the distance from the reference pole C, the second moments of the four quarter-circular areas about the pole C are the same. Imply
Second Moment of Circular Area Example 2
In example 1, the reference axis x' of the circular area is the same axis used in defining the second moment of the semi-circular areas and the quarter-circular areas, the second moments of the component areas can be added directly. But if the reference axis is changed to axis A, each second moment of a component area should be transfered to the desired axis A by parall-axis theorem or by calculation before adding. As for two semi-circular areas,
Since the two second moments of the two semi-circular areas are about the axis x', the two second moments of the two semi-circular areas should be transfered to the axis A before adding accordingly. Imply
Negative Area of a composite area
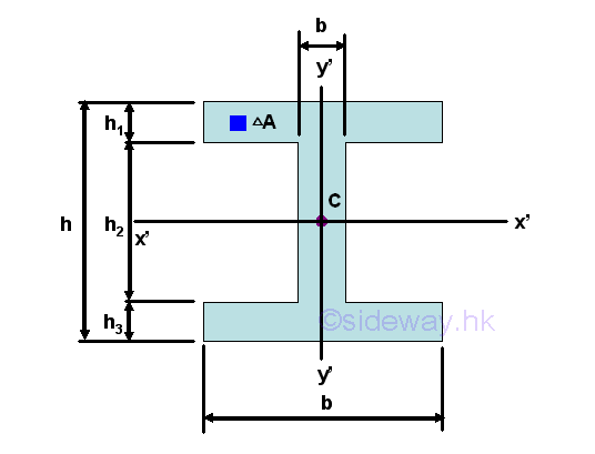
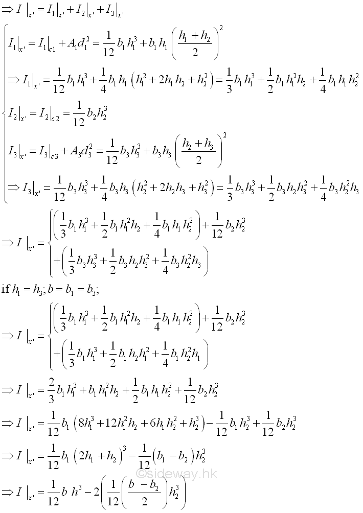
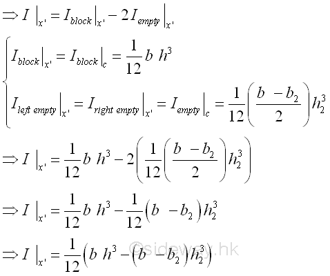
Sometimes, an empty area in a composite area can also be considered in calculating the second moment of a composite area by changing the sign of the empty area to negative before adding. And therefore the empty component area of a composite area is also called negative area. For example, the second moment of an I-beam area starting with all positive components. Imply
Therefore, the second moment of an I-beam area starting with positive and negative components. Imply
Radius of gyration of composite areaUnlike the polar radius of gyration, kO which can be obtained using the two rectangular radius of gyration, kx and ky only, the radius of gyration of a composite area can not be obtained using the radii of gyration of all component areas of a composite area only. The radius of gyration of a composite area can be determined by the second moment of the composite area and the area of the composite area directly or making use of the radii of gyration of all component areas of a composite area together with the areas of the component areas of a composite area. Imply
©sideway ID: 121000009 Last Updated: 10/18/2012 Revision: 0 Ref: References
Latest Updated Links
Nu Html Checker 53 na |
![]() Home 5 Business Management HBR 3 Information Recreation Hobbies 9 Culture Chinese 1097 English 339 Travel 44 Reference 79 Hardware 55 Computer Hardware 260 Software Application 213 Digitization 37 Latex 52 Manim 205 KB 1 Numeric 19 Programming Web 289 Unicode 504 HTML 66 CSS 65 SVG 46 ASP.NET 270 OS 431 DeskTop 7 Python 72 Knowledge Mathematics Formulas 8 Set 1 Logic 1 Algebra 84 Number Theory 206 Trigonometry 31 Geometry 34 Calculus 67 Engineering Tables 8 Mechanical Rigid Bodies Statics 92 Dynamics 37 Fluid 5 Control Acoustics 19 Natural Sciences Matter 1 Electric 27 Biology 1 |
Copyright © 2000-2026 Sideway . All rights reserved Disclaimers last modified on 06 September 2019