
TOCForceMomentCoupleSystem of ForcesStatic EquilibriumStructure AnalysisDistributed ForceFriction ForceInternal Force Second Moment of an Area Draft for Information Only
ContentSecond Moment of An Area of Geometric Shape
Second Moment of An Area of Geometric ShapeThe second moment of an area of a geometric shape can be determined by integration or the parallel-axis theorem. Imply
Moment of Inertia of AreasSecond Moment of Area of RectangleSecond Moment about x' by Double Integration
The second moment of an area of a rectangle about the centroidal axis x' is
Second Moment about y' by Single Integration
The second moment of an area of a rectangle about the centroidal axis y' is
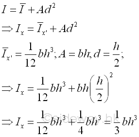
Second Moment about x by Parallel-Axis TheoremThe second moment of an area of a rectangle about the axis x is
Second Moment about y by Parallel-Axis TheoremThe second moment of an area of a rectangle about the axis y is
Polar Moment about C from Rectangular Moments of InertiaThe polar moment of an area of a rectangle about the centroid C is
Second Moment of Area of CircleSecond Moment about x' by Double Integration
The second moment of an area of a circle about the centroidal axis x' is
Second Moment about y' by Double Integration
The second moment of an area of a circle about the centroidal axis y' is
Polar Moment about C from Rectangular Moments of InertiaThe polar moment of an area of a circle about the centroid C is
Second Moment about A by Parallel-Axis TheoremThe second moment of an area of a rectangle about axis A is
Second Moment of Area of TriangleSecond Moment about x' by Single Integration
The second moment of an area of a triangle about the centroidal axis x' is
Second Moment about x by Parallel-Axis TheoremThe second moment of an area of a triangle about the axis x is
©sideway ID: 121000007 Last Updated: 10/16/2012 Revision: 0 Ref: References
Latest Updated Links
Nu Html Checker 53 na |
![]() Home 5 Business Management HBR 3 Information Recreation Hobbies 9 Culture Chinese 1097 English 339 Travel 44 Reference 79 Hardware 55 Computer Hardware 260 Software Application 213 Digitization 37 Latex 52 Manim 205 KB 1 Numeric 19 Programming Web 289 Unicode 504 HTML 66 CSS 65 SVG 46 ASP.NET 270 OS 431 DeskTop 7 Python 72 Knowledge Mathematics Formulas 8 Set 1 Logic 1 Algebra 84 Number Theory 206 Trigonometry 31 Geometry 34 Calculus 67 Engineering Tables 8 Mechanical Rigid Bodies Statics 92 Dynamics 37 Fluid 5 Control Acoustics 19 Natural Sciences Matter 1 Electric 27 Biology 1 |
Copyright © 2000-2026 Sideway . All rights reserved Disclaimers last modified on 06 September 2019