
Logarithm TheoremPythagorean TheoremCombinatoricsQuadratic Equations Arithmetical Progression / Geometrical Progression Draft for Information Only
Content
Sequence of First n Natural Numbers[1]
Sequence of First n Natural Numbers[1]The sequence of the first n natrual numbers are, 1, 2, 3, ...., n. The first n natural numbers sequence is an ordered arithmetic sequence with initial term equal to 1 and common difference equal to 1. Imply
First n Natural Numbers Series[1]
Since the first n natural number is an arithmetic sequence, the series of the
first n natural numbers can also be determined as an arithmetic series. As an
arithmetic series is of the form S=a+(a+d)+(a+2d)+(a+3d)+.... And the general
format of an arithmetic series is Sn=a1+a2+a3+a4+
....+an-1+an =a+(a+d)+(a+2d)+(a+3d)+...+(a+(n-2)d)+(a+(n-1)d) =∑ n
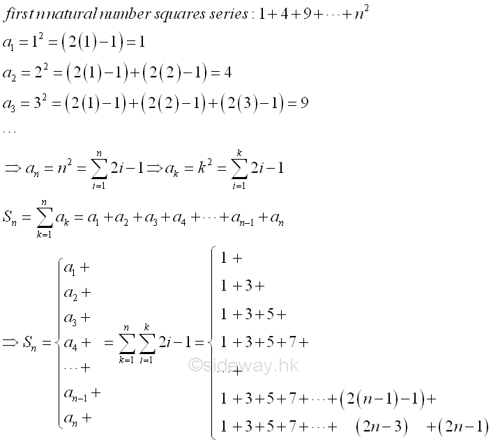
Sequence of First n Natural Number Squares[1,2]
The sequence of the first n natrual numbers squaes are, 1, 4, 9, ...., or 1,
22, 32, ...., n2. The
first n natural number squares sequence is an ordered sequence with initial
term equal to 1 and variable difference of two consecutive number squares equal to
k2-(k-1)2 =2k-1. That is 1, 1+(2(2)-1), 1+(2(2)-1)+(2(3)-1),
1+(2(2)-1)+(2(3)-1)+(2(4)-1),... or 1, 1+3, 1+3+5, 1+3+5+7,...,1+3+5+7+...+(2n-3)+(2n-1).
Therefore the general nth term is equal to an=n2=∑ n
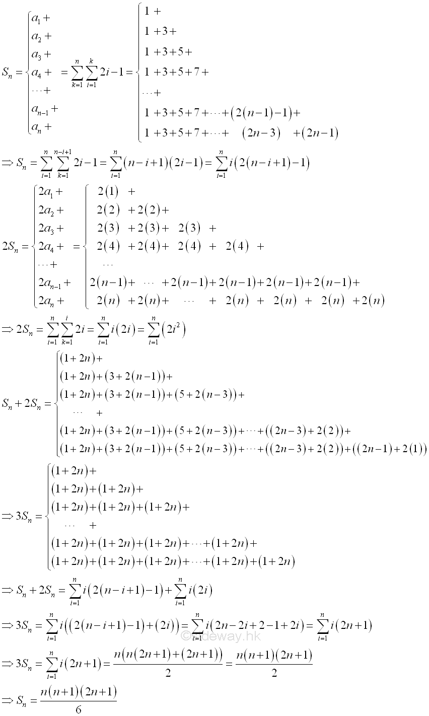
First n Natural Number Squares Series[1,2]Since the common difference varies with the term, the sum of the sequence cannot be determined by the method of finding the sum of an arithmetic series directly. How the technique used to determine the sum of the first n natural number squares series is similarly. First, since the series of natural number squares has a variable difference equal to 2k-1, each term of the series can be expressed as a series, and the natural number since can be written as 1+(1+3)+(1+3+5)+(1+3+5+7+9)+...+(1+3+5+7+9+...+2n-3)+(1+3+5+7+9+...+2n-3+2n-1).
Second, apply the technique used in determining the sum of an arithmetic series, each series term of the series can be added to the reverse order of the series term itself, so that the sum of two natural number squares can be expressed in term of the sum of the first and last terms times the item number also. That is (1+1)+((1+3)+(3+1))+((1+5)+(3+3)+(5+1))+...+((1+(2n-1))+(3+(2n-3))+...+((2n-3)+3)+((2n-1)+1)) =(2)+(4+4)+(6+6+6)+...+(2n+2n+...+2n+2n).
Third, by comparing the new series of the sum of two series and the series of the original natural number squares series, there is similarity between the two series. For the original series, the total number of the same series item in the whole series number is in reversed order of the term number, i.e. n items of 1, n-1 items of 3, n-2 items of 5, ..., 1 item of 2n-1. But for the new series of the sum of two series, the total number of the series item is of the same order of the term item, i.e. n items of 2n, n-1 items of 2(n-1) n-2 items of 2(n-2), ..., 3 items of 2(3), 2 items of 2(2), 1 items of 2(1). Finally, when all paired terms with equal numbers of items in the two series are added together, the sums of all paired terms are equal to 2n+1. In other words, the sum of two series becomes an arithmetic series with initial term 2n+1 and common difference 2n+1 with the first term equal to 2n+1 and the last term equal to n(2n+1). For an arithmetic series, the sum of the two series is equal to (n(n(2n+1)+(2n+1)))/2=(n(n+1)(2n+1))/2. Since the sum is equal to three original natural number square series, the sum of one natural number squares series is therefore equal to (n(n+1)(2n+1))/6. Imply
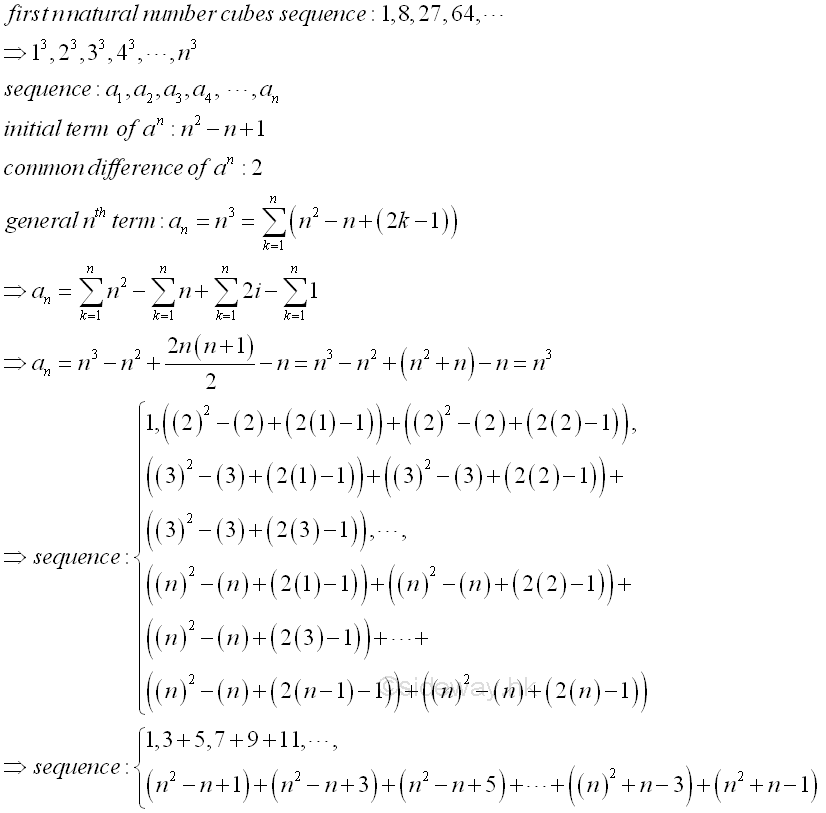
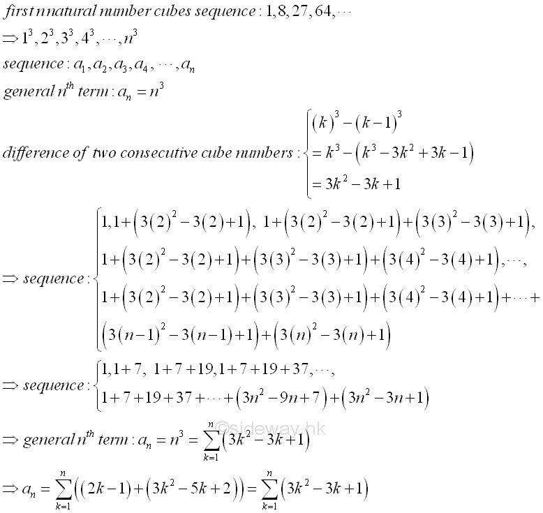
Sequence of First n Natural Number Cubes[1,2]
The sequence of the first n natrual numbers cubes are, 1,
8, 27, ...., or 1,
23, 33, ...., n3. The
first n natural number cubes sequence is an ordered sequence with initial
term equal to 1 and variable difference of two consecutive number squares equal to
k3-(k-1)3 =3k2-3k+1. That is 1, 1+(3(2)2-3(2)+1), 1+(3(2)2-3(2)+1)+(3(3)2-3(3)+1),
1+(3(2)2-3(2)+1)+(3(3)2-3(3)+1)+(3(2)2-3(2)+1),... or 1, 1+7, 1+7+19, 1+7+19+37,...,1+7+19+37+...+(3n2-9n+7)+(3n2-3n+1).
Therefore the general nth term is equal to an=n3=∑ n
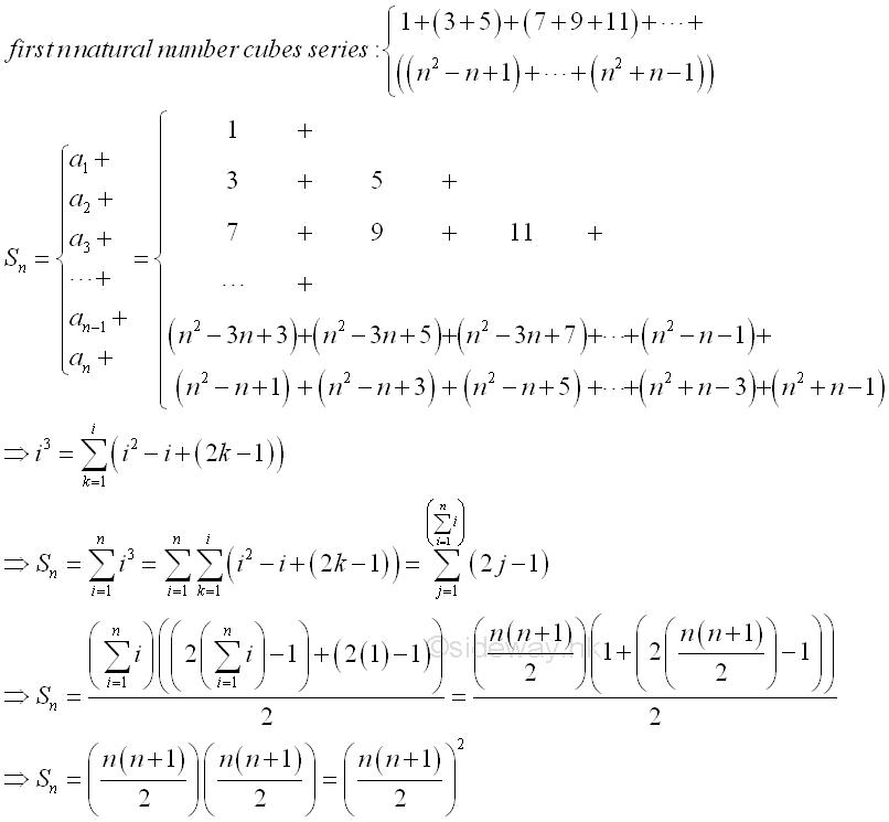
First n Natural Number Cubes Series[1,2]
As in natural number squares series, since the common difference varies with the term, the sum of the sequence cannot
be determined by the method of finding the sum of an arithmetic series directly.
However, the natural number cubes can also be expressed in a more strategic way
such that the sum of the sequence can be found more easily. Instead of use a
constant initial term, a variable initial term n2-n+1 can also be used so that n3 is equal to the sum of an
arithmetical progression of n terms with common difference, 2. Therefore the
sequence of natural number cubes can be rewritten as 1, 3+5, 7+9+11, 13+15+17+19,...,(n2-n+1)+(n2-n+1)+(n2-n+1)+(n2-n+3)+(n2-n+5)+...+(n2-n+2(n-1)-1)+(n2+n-1). And the general nth term is equal to an=n3= ∑ n
The sequence becomes a triangular arrangement of odd numbers in a regular order.
The ith cube is the sum of i number of consecutive odd
number with initial term equal (i2-i+1)=i(i-1)+1.
Therefore the sum of the natural number cubes series is equal to the sum of
consecutive odd numbers with first term, 1 and last term, (n2+n-1).
The total number of terms in the series is equal to (n(n+1))/2. That is
1+3+5+7+9+11+13+15+17+19+...+(n2+n-3)+(n2+n-1)= ∑ (n(n+1))/2
©sideway ID: 130500019 Last Updated: 5/20/2013 Revision: 1 Ref: References
Latest Updated Links
Nu Html Checker 53 na |
![]() Home 5 Business Management HBR 3 Information Recreation Hobbies 9 Culture Chinese 1097 English 339 Travel 44 Reference 79 Hardware 55 Computer Hardware 260 Software Application 213 Digitization 37 Latex 52 Manim 205 KB 1 Numeric 19 Programming Web 289 Unicode 504 HTML 66 CSS 65 SVG 46 ASP.NET 270 OS 431 DeskTop 7 Python 72 Knowledge Mathematics Formulas 8 Set 1 Logic 1 Algebra 84 Number Theory 206 Trigonometry 31 Geometry 34 Calculus 67 Engineering Tables 8 Mechanical Rigid Bodies Statics 92 Dynamics 37 Fluid 5 Control Acoustics 19 Natural Sciences Matter 1 Electric 27 Biology 1 |
Copyright © 2000-2026 Sideway . All rights reserved Disclaimers last modified on 06 September 2019