
Logarithm TheoremPythagorean TheoremCombinatoricsQuadratic Equations Arithmetical Progression / Geometrical ProgressionNatural Numbers SeriesPowers of Natural Numbers SeriesBinomial Theorem and Binomial Series Draft for Information Only 
    Content  Standard Binomial Factor[ ]
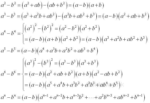
    Standard Binomial Factor[ ]Some standard binomial factor can be derived from the binomial expansions also. Difference of Powers[ ]The expansion of the difference of powers. Imply  
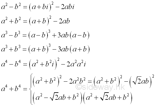
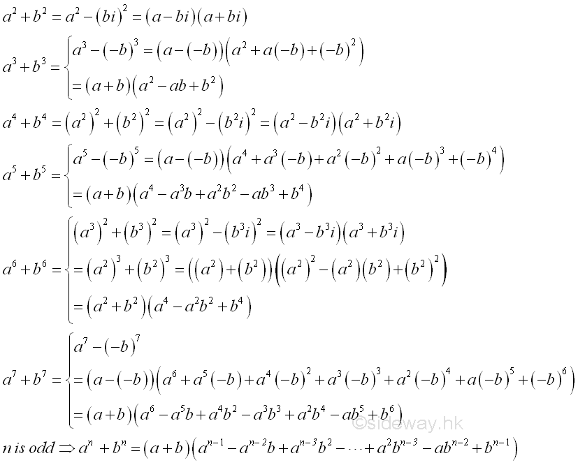
      Sum of Powers[ ]The expansion of the sum of powers. Imply  
      Difference and Sum of Powers[ ]The expansion of the difference and sum of powers from binomial expansions. Imply  
      
 
 ©sideway ID: 140500003 Last Updated: 5/10/2014 Revision: 0 Ref: References 
 Latest Updated Links 
     Nu Html Checker  53  na  | 
    ![]() Home 5 Business Management HBR 3 Information Recreation Hobbies 8 Culture Chinese 1097 English 339 Travel 18 Reference 79 Hardware 26 Computer Hardware 259 Software Application 213 Digitization 37 Latex 52 Manim 205 KB 1 Numeric 19 Programming Web 289 Unicode 504 HTML 66 CSS 65 SVG 46 ASP.NET 270 OS 431 DeskTop 7 Python 72 Knowledge Mathematics Formulas 8 Set 1 Logic 1 Algebra 84 Number Theory 206 Trigonometry 31 Geometry 34 Calculus 67 Engineering Tables 8 Mechanical Rigid Bodies Statics 92 Dynamics 37 Fluid 5 Control Acoustics 19 Natural Sciences Matter 1 Electric 27 Biology 1  | 
Copyright © 2000-2025 Sideway . All rights reserved Disclaimers last modified on 06 September 2019