
TOCForceMoment Draft for Information Only 
    ContentEquivalent Couples
    Equivalent CouplesEquivalent couples can also be formed by the combination of simple transformations. Non-Parallel Coplanar Couples TransformationTwo coplanar couples are equal when the force couples can be transfromed by making use of principle of transmissibility, parallelogram law of force decomposition and simple couple translation and couple rotation in space. 
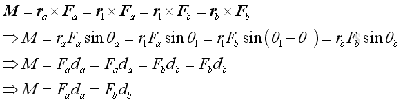
         By the principle of transmissibility, both force vectors, Fa and Fb can be translated along its line of action. For non parallel coplanar force couples, force Fa can be resolved into force Fb and force along moment arm r by force decomposition. The effective moment of both force couples can be expressed as: 
         By principle of transmissibility, imply moment arms ra and rb can be expressed in terms of r1: 
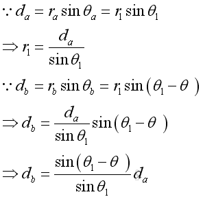
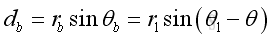
         Geometrically, prependicular distances da and db can be expressed as: 
         Imply the prependicular distance db can be expressed in terms of da as: 
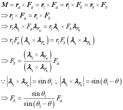
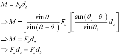
         By the sine rule, imply force Fb can be expressed in terms of Fa: 
         Therefore the moment M is: 
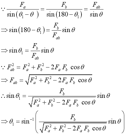
         By the sine rule and the cosine rule, the angle θ1 between force Fa and the moment arm r can be expressed in terms of magnitude of forces Fa and Fb , and the angle between them: 
         The moment vector M can be expressed as: 
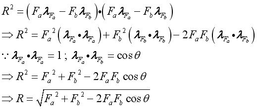
         For non parallel coplanar force couples, force Fa can be resolved into force Fb and a vector difference force R by force decomposition. Imply: 
         The magnitude of the vector difference force R can be expressed as: 
         Therefore the direction vector of the vector difference force R is: 
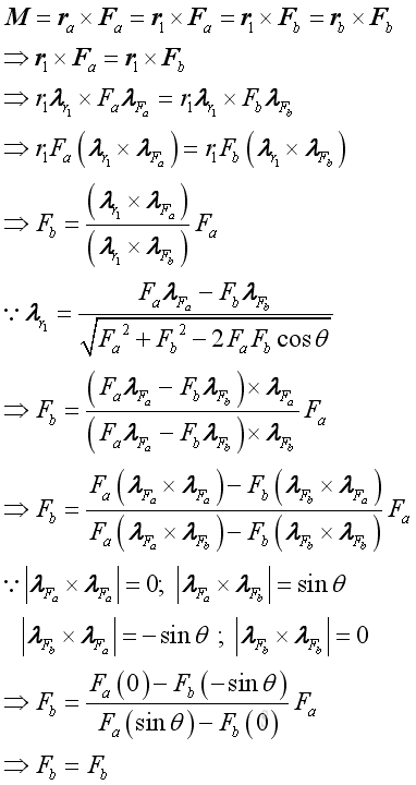
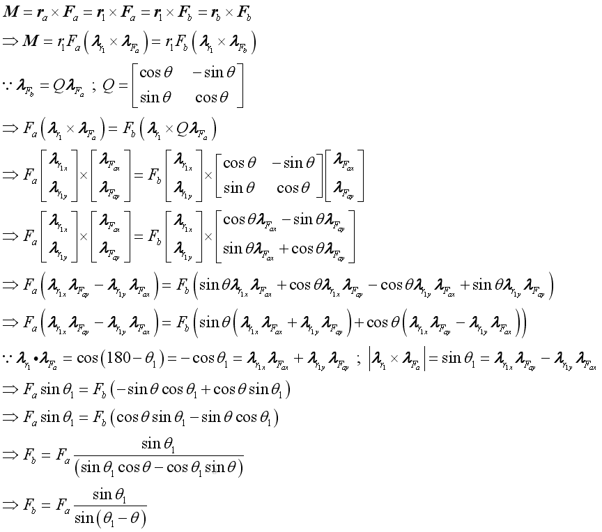
         Since two force couples are equivalent and can have the same moment arm vector r1 along the direction vector of the vector difference force R after transformation, the cross product of moment arm vector r1 and forces Fa and Fb is the same. Proof: 
         Therefore the forces of couples can be expressed as : 
         To simplify the vector analysis, the non parallel coplanar force couples transformation can be reduced to 2D rotation by transformation through aligning the transformation axis normal to plane of force couple at the intersection of forces Fa and Fb to the z axis of the rectangular coordinate. imply:  
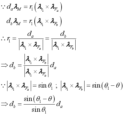
The prependicular distance of the moment of a force couple is equal to the magnitude of the cross product of the moment arm vector of the force and the direction vector of the force. When two non parallel coplanar force couples are equivalent, the moment arms of the two force couples can be transformed to the same moment arm by the principle of transmissibility. Imply 
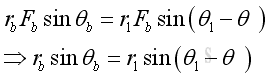
         Therefore the two prependicular distances of the two force couples can be related by the magnitude of moment arm. 
         Therefore the moment M is: 
         ©sideway ID: 110600008 Last Updated: 6/30/2011 Revision: 0 Ref: References 
 Latest Updated Links 
     Nu Html Checker  53  na  | 
    ![]() Home 5 Business Management HBR 3 Information Recreation Hobbies 8 Culture Chinese 1097 English 339 Travel 18 Reference 79 Hardware 27 Computer Hardware 259 Software Application 213 Digitization 37 Latex 52 Manim 205 KB 1 Numeric 19 Programming Web 289 Unicode 504 HTML 66 CSS 65 SVG 46 ASP.NET 270 OS 431 DeskTop 7 Python 72 Knowledge Mathematics Formulas 8 Set 1 Logic 1 Algebra 84 Number Theory 206 Trigonometry 31 Geometry 34 Calculus 67 Engineering Tables 8 Mechanical Rigid Bodies Statics 92 Dynamics 37 Fluid 5 Control Acoustics 19 Natural Sciences Matter 1 Electric 27 Biology 1  | 
Copyright © 2000-2025 Sideway . All rights reserved Disclaimers last modified on 06 September 2019