
TOCForceMoment Draft for Information Only
ContentEquivalent Couples
Equivalent CouplesEquivalent couples can also be formed by the combination of simple transformations. Parallel Coplanar Couples TransformationTwo parallel coplanar couples are equal when the force couples can be transfromed by simple couple translation, or forces and couple transformation in space.
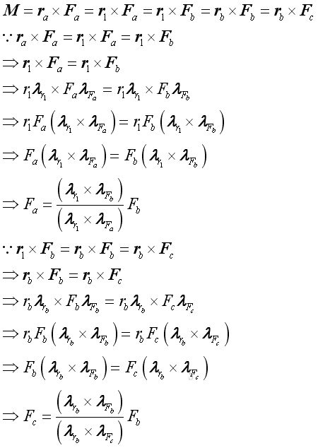
By definition, the effective moment of both couples of forces Fa and Fc can be expressed as:
For parallel coplanar force couples, two parllel lines can be added at the points of action of the couple of force Fc for forces transmation. Force Fc can be resolved into force Fb along the parallel line and force along moment arm rc by force decomposition. By the principle of transmissibility, forces, Fb can be translated along the parallel lines to the intersection of .the line of action of forces Fa to which force Fa can be translated. If two couples of forces Fa and Fc are equivalent, the vector difference of forces Fa and Fb will aligned with the moment arm vector r1. By principle of transmissibility, imply moment arms ra and rb can be expressed in terms of r1:
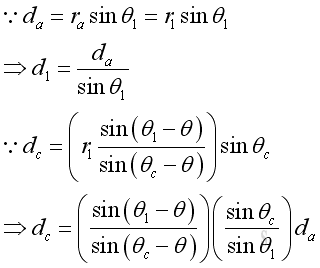
Geometrically, prependicular distances da and dc can be expressed as:
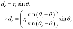
Imply the prependicular distance dc can be expressed in terms of da as:
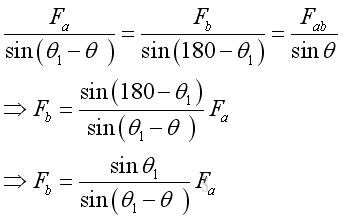
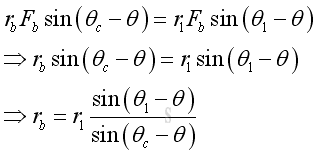
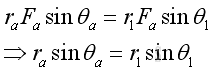
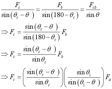
By the sine rule, imply force Fb can be expressed in terms of Fa:
By the sine rule, imply force Fc can also be expressed in terms of Fa:
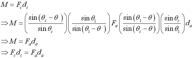
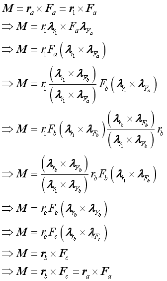
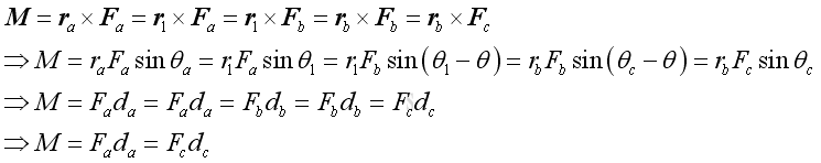
Therefore the moment M is:
Unlike the non-parallel force couples, the angle c is not a fixed angle and can not be 0o or 180o. The moment vector M can be expressed as:
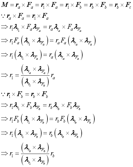
Since two force couples are equivalent, they should able to transformed to the same force couple, i.e. the cross product of moment arm vector r1 or vector rb and the forces Fb . And forces Fa and Fc can be expressed in terms of forces Fb . Imply:
Similarly, the moment arm ra and rb can also be expressed in terms of moment arm r1 . Imply:
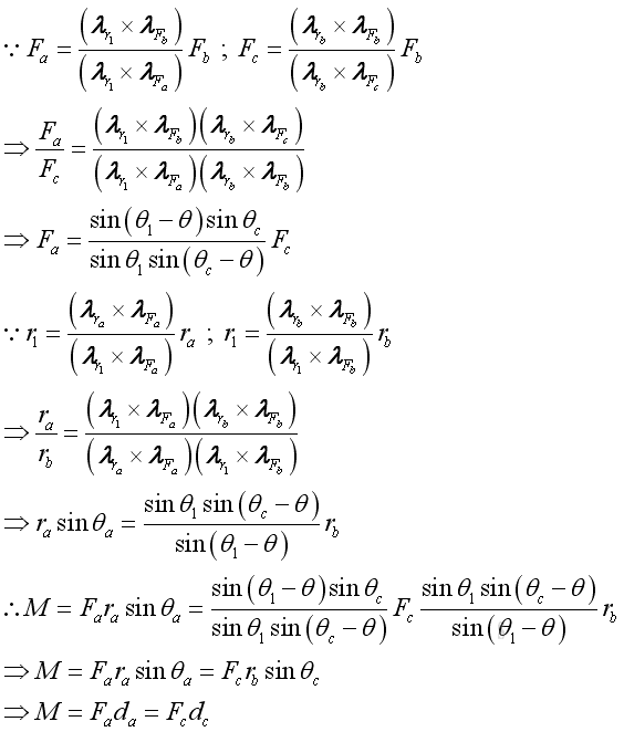
Therefore the moment of two couples are equivalent if they can be transformed through the common transformed couple. Imply
Therefore the moment M is:
©sideway ID: 110700001 Last Updated: 7/1/2011 Revision: 0 Ref: References
Latest Updated Links
Nu Html Checker 53 na |
![]() Home 5 Business Management HBR 3 Information Recreation Hobbies 9 Culture Chinese 1097 English 339 Travel 44 Reference 79 Hardware 55 Computer Hardware 260 Software Application 213 Digitization 37 Latex 52 Manim 205 KB 1 Numeric 19 Programming Web 289 Unicode 504 HTML 66 CSS 65 SVG 46 ASP.NET 270 OS 431 DeskTop 7 Python 72 Knowledge Mathematics Formulas 8 Set 1 Logic 1 Algebra 84 Number Theory 206 Trigonometry 31 Geometry 34 Calculus 67 Engineering Tables 8 Mechanical Rigid Bodies Statics 92 Dynamics 37 Fluid 5 Control Acoustics 19 Natural Sciences Matter 1 Electric 27 Biology 1 |
Copyright © 2000-2026 Sideway . All rights reserved Disclaimers last modified on 06 September 2019