
TOCForceMoment Draft for Information Only 
    ContentEquivalent Couples
    Equivalent CouplesEquivalent couples can also be formed by the combination of simple transformations. Transformation of same couple in parallel planesTwo parallel couples of same force magnitude and same prependicular distance between the lines of action in two parallel plane are equal when the force couples can be transfromed by simple couple translation, or forces and couple transformation in space. 
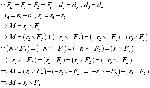
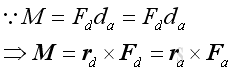
         Since the two couples have the same magnitudes of forces Fa and Fd and the prependicular distance between the forces are the same also, by definition, the effective moment of both couples of forces Fa and Fd can be expressed as: 
         For parallel force couples, the lines of actions of forces are parallel also. In order to transform the couple of force Fd to the couple of force Fa , two planes are contstructed to link up forces of two couples. One plane contains force Fd and force -Fa while another plane contains force -Fd and force Fa . Since these two planes are always crossed with each other, the line of intersection is alway parallel to the lines of action of forces. Geometrically the intersection line will lie between the half way of the two planes because of the same prependicular distance between parallel forces, Therefore the distance between the intersection line, and the line of action of force Fd or of force -Fa are the same. And the distance between the intersection line, and the line of action of force -Fd or of force Fa are the same. By couple transformation, force F1 and force -F1 with same magnitude as force Fd are added along the intersection line so that the the couple of force Fd can be decomposed into two couples, i.e. couple formed by force Fd and force -F1, and couple formed by force F1 and force -Fd with the resultant force remains unchanged. Similarly, force F2 , and force -F2 with same magnitude as force F1 or force Fa are also added along the intersection line for the couple transformation of force Fa. into two couples, i.e. couple formed by force Fa and force -F2, and couple formed by force F2 and force -Fa with the resultant force remains unchanged. Since couple formed by force Fd and force -F1, and couple formed by force F2 and force -Fa lie in the same plane, they can be proved that they have same moment with the same sense by planar couple transformation. And couple formed by force F1 and force -Fd, and couple formed by force Fa and force -F2 lie in the same plane, they can be proved that they have same moment with the same sense by planar couple transformation also. Couple formed by force Fa and force -F2 , and couple formed by force F2 and force -Fa can be combined to couple of force Fa through couple transformation by the cancelling of force -F2 and force F2 . Therefore, couple of force Fd can be transformated to couple of force Fa and they are equivalent. Imply: 
         Couples Transformation in parallel planesIn addition to the same parallel couples transformation in parallel planes, couples transformation in parallel planes can also be done by the additional coplanar couple transformation to prove any two couples are equivalent in parallel planes. 
         ©sideway ID: 110700002 Last Updated: 7/3/2011 Revision: 0 Ref: References 
 Latest Updated Links 
     Nu Html Checker  53  na  | 
    ![]() Home 5 Business Management HBR 3 Information Recreation Hobbies 8 Culture Chinese 1097 English 339 Travel 18 Reference 79 Hardware 27 Computer Hardware 259 Software Application 213 Digitization 37 Latex 52 Manim 205 KB 1 Numeric 19 Programming Web 289 Unicode 504 HTML 66 CSS 65 SVG 46 ASP.NET 270 OS 431 DeskTop 7 Python 72 Knowledge Mathematics Formulas 8 Set 1 Logic 1 Algebra 84 Number Theory 206 Trigonometry 31 Geometry 34 Calculus 67 Engineering Tables 8 Mechanical Rigid Bodies Statics 92 Dynamics 37 Fluid 5 Control Acoustics 19 Natural Sciences Matter 1 Electric 27 Biology 1  | 
Copyright © 2000-2025 Sideway . All rights reserved Disclaimers last modified on 06 September 2019