
TOCForceMomentCoupleSystem of ForcesStatic EquilibriumStructure AnalysisDistributed ForceFriction Force Draft for Information Only
Content
Internal Forces
in Beams
Internal Forces in BeamsThe shearing forces and bending moments in a statically determinate beam can be determined by the equilibrium equations. Using the standard convention, the distribution of internal forces in a beam can be represented graphically by plotting the values of shear or bending moment against the distance from one end of the beam. Besides concentrated applied loads and moments, the applied force can also be distributed applied loads and moments, and concentrated couples. Shear and Bending Moment DiagramsInternal Forces in a Simply Supported Beam with Distributed Load
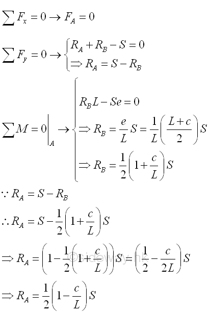
For example, consider a simply supported beam with a distributed load of w per unit length over length CB of the beam. The equivalent force for the distributed load can be represented by a force S acting at the middle point E of length CB on the beam, i.e. e=(L+c)/2. The free-body diagram of the entire beam is
The reactions at the hinged and roller supports can be determined by the equilibrium equations.
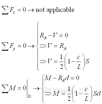
Internal forces can be determined by dividing the beam into two separated free body. Selecting a point D between A and C, i.e. A<D<C
Consider the member section AD of length d, the internal forces at point D are
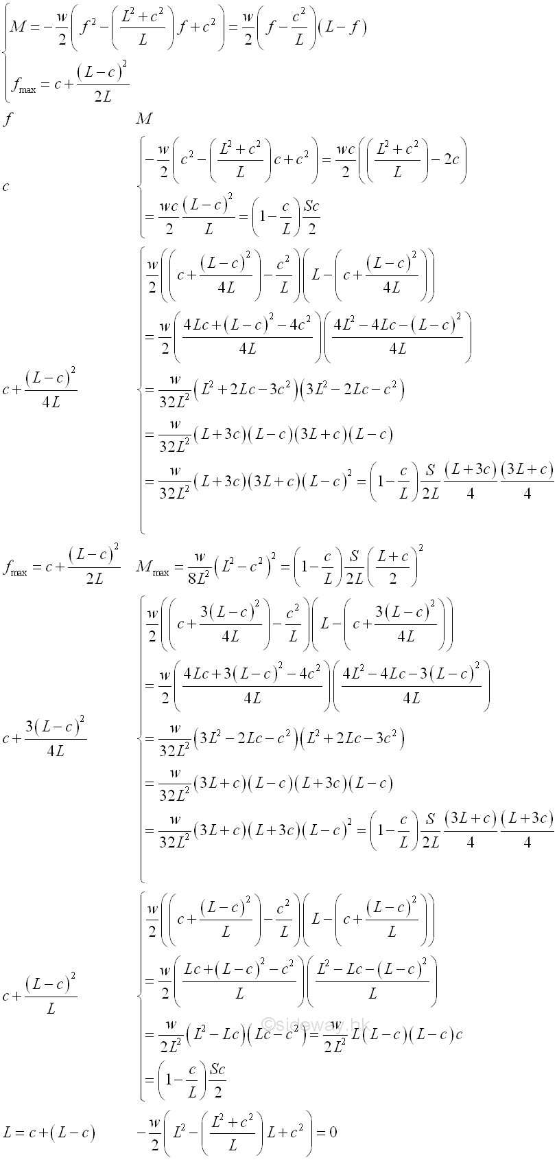
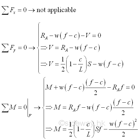
Point D is a random point between A and C. The shear force V is a constant and is equal to (1-c/L)S/2 between point A and point D. And bending moment M is a linear function of point D. Therefore bending moment M=0 at point A and bending moment M=(1-c/L)Sc/2 at point C. Selecting another point F between C and B, i.e. C<F<B
Consider the member section AF of length L-F, the internal forces at point F are
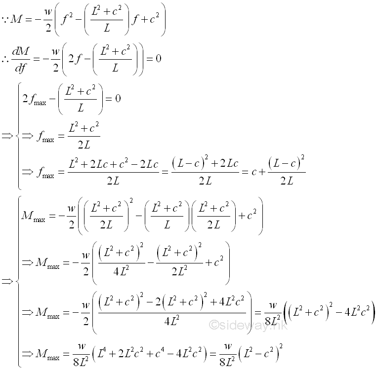
Point F is a random point between C and B. The shear force V is a linear function of point D.The shear force V=(1-c/L)S/2 at point C and the shear force V=(1-c/L)S/2-w(L-c)=-(1+c/L)S/2 at point B. Because of the moment due to the distributed load, the bending moment M is also a second degree function of point D. Therefore bending moment M=(1-c/L)Sc/2 at point C and bending moment M=(1-c/L)SL/2-w(L-c)^2/2=((L-c)-(L-c))S/2=0 at point B. However, the bending moment M is a curve of degree n between C and B, more data is needed to plot the bending moment curve between C and B. The curve of bending moment M between C and B can be rewritten as
Therefore the bending moment M between C and B is always greater or equal to zero. The maximum bending moment M between C and B is
And the bending moments M between C and B at typical points are
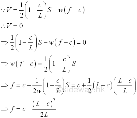
similarly when the shear is equal to zero, the position of point F is
Shear Diagramar Diagram
Bending Moment Diagram
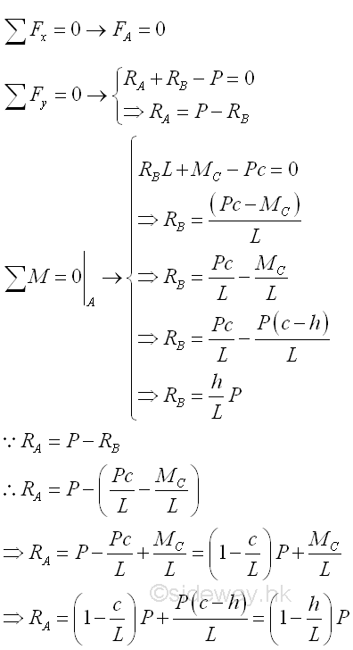
Internal Forces in a Simply Supported Beam with Concentrated Load and Concentrated Moment
For example, consider a simply supported beam with a concentrated load and a concentrate moment by applying one applied force on the L shape plate which is fixed on around the middle of the beam. Since the applied force P is not directly acting on the beam body, the applied force P applied on the L shape will generated a concentrated force P and a concentrated moment MC at the mounting point of the L shape plate on the beam body. Through system of force transformation, the generated concentrated moment due to the applied force P at point C is
The free-body diagram of the entire beam is
The reactions at the hinged and roller supports can be determined by the equilibrium equations.
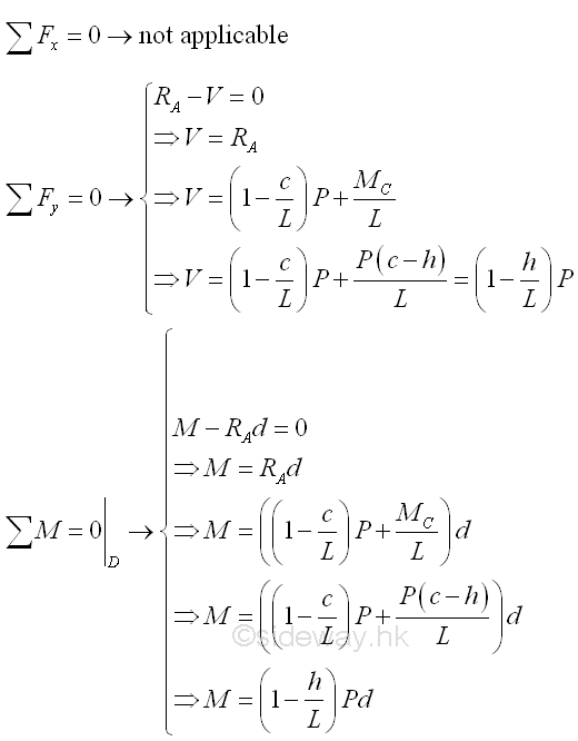
Internal forces can be determined by dividing the beam into two separated free body. Selecting a point D between A and C, i.e. A<D<C
Consider the member section AD of length d, the internal forces at point D are
Point D is a random point between A and C. The shear force V is a constant and is equal to (1-h/L)P between point A and point C. And bending moment M is a linear function of point D. Therefore bending moment M=0 at point A and bending moment M=(1-h/L)Pc at point C. Selecting another point E between C and B, i.e. C<E<B
Consider the member section EB of length L-e, the internal forces at point E are
Point E is a random point between C and B. The shear force V is a constant and is equal to -(h/L)P between point C and point B. And bending moment M is a linear function of point E. Therefore bending moment M=(1-c/L)Ph at point C and bending moment M=0 at point B. Shear Diagram
Bending Moment Diagram
Internal Forces in a Simply Supported Beam with a Concentrated Couple
For example, consider a simply supported beam with a concentrated couple by applying a couple, a pair of applied forces P on the S shape plate which is fixed on around the middle of the beam. Since the pair of applied forces P is not directly acting on the beam body, the pair of applied forces P applied on the L shape will generated a concentrated couple at the mounting point of the S shape plate on the beam body only. And the resultant force due the pair of the applied forces is equal to zero. Through system of force transformation, the generated concentrated moment due to the pair of applied force P at point C is
The free-body diagram of the entire beam is
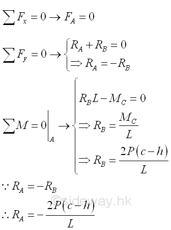
The reactions at the hinged and roller supports can be determined by the equilibrium equations.
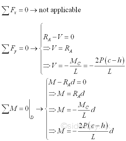
Internal forces can be determined by dividing the beam into two separated free body. Selecting a point D between A and C, i.e. A<D<C
Consider the member section AD of length d, the internal forces at point D are
Point D is a random point between A and C. The shear force V is a constant and is equal to -2P(c-h)/L between point A and point C. And bending moment M is a linear function of point D. Therefore bending moment M=0 at point A and bending moment M=-2P(c-h)c/L at point C. Selecting another point E between C and B, i.e. C<E<B
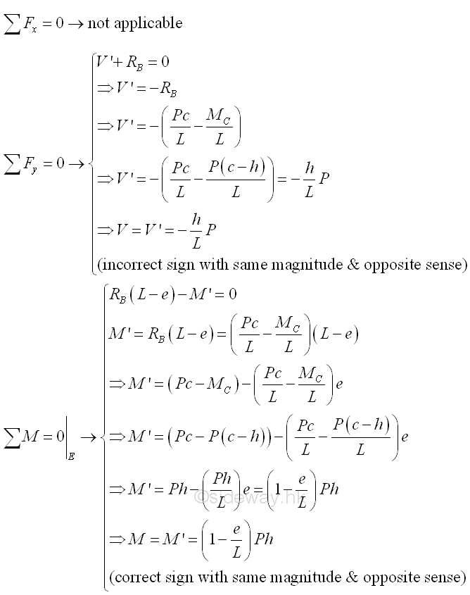
Consider the member section EB of length L-e, the internal forces at point E are
Point E is a random point between C and B. The shear force V is a constant and is equal to -(2P(c-h))/L between point C and point B. And bending moment M is a linear function of point E. Therefore bending moment M=2P(c-h)(1-c/L) at point C and bending moment M=0 at point B. Shear Diagram
Bending Moment Diagram
©sideway ID: 120800024 Last Updated: 8/29/2012 Revision: 0 Ref: References
Latest Updated Links
Nu Html Checker 53 na |
![]() Home 5 Business Management HBR 3 Information Recreation Hobbies 9 Culture Chinese 1097 English 339 Travel 44 Reference 79 Hardware 55 Computer Hardware 260 Software Application 213 Digitization 37 Latex 52 Manim 205 KB 1 Numeric 19 Programming Web 289 Unicode 504 HTML 66 CSS 65 SVG 46 ASP.NET 270 OS 431 DeskTop 7 Python 72 Knowledge Mathematics Formulas 8 Set 1 Logic 1 Algebra 84 Number Theory 206 Trigonometry 31 Geometry 34 Calculus 67 Engineering Tables 8 Mechanical Rigid Bodies Statics 92 Dynamics 37 Fluid 5 Control Acoustics 19 Natural Sciences Matter 1 Electric 27 Biology 1 |
Copyright © 2000-2026 Sideway . All rights reserved Disclaimers last modified on 06 September 2019