
TOCForceMomentCoupleSystem of ForcesStatic EquilibriumStructure AnalysisDistributed ForceFriction Force Draft for Information Only
Content
Internal Forces
in Beams
Internal Forces in BeamsThe shearing forces and bending moments in a statically determinate beam can be determined by the equilibrium equations. Using the standard convention, the distribution of internal forces in a beam can be represented graphically by plotting the values of shear or bending moment against the distance from one end of the beam. The problem of using the equilibrium equations to determine the values of internal forces in a beam is the repeating of setting up equilibrium equations to calculate the internal forces for a multiple loads beam. Since both shear and bending moment in the beam is created by the applied load, relations among load, shear and bending can be used to develope formulas for calculating load, shear and bending moment in the beam. Relations among Load, Shear and Bending MomentApplied LoadsIn general, the forces considered in static are the concentrated force P, distributed force W and concentrated moment or couple. In order to determine the internal forces of a beam, method of imaginary section plane is used by assuming the beam is fixed at the location of the imaginary section plane. Since the task is to determine the internal forces due to all external forces away from the imaginary section plane, the concentrated force, and concentrated moment or couple acting on the position and on the other side of the imaginary section plane is ignored. When a beam is in equilibrium, the imaginary separated beam sections are also in equilibrium. Concentrated LoadFor example, ignoring the horizontal forces, dividing a simply supported beam with one concentrated load P into three imaginary beam sections.
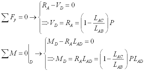
The Reaction forces can be determined by setting up the equilibrium equations. Imply
The free body diagram for the three beam sections are
The internal forces at D can be determined by setting up the equilibrium equations of beam section AD. Imply
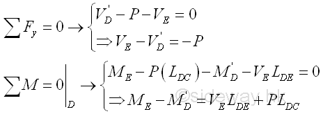
The internal forces at E can be determined by setting up the equilibrium equations of beam section EB. Imply
When using beam section DE as the standard convention of the difference of internal forces. The internal forces of beam section DE can also be determined by setting up the equilibrium equations of beam section DE assuming the beam is fixed at point E accordingly. Imply
Or the internal forces of beam section DE can also be determined by setting up the equilibrium equations of beam section DE assuming the beam is fixed at point D accordingly. Imply
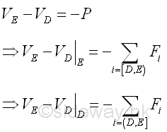
Since the sense of the internal forces are represented by the arrowheads accordingly the value of internal forces at both sides of the imaginary section plane are equal. Imply
Imply
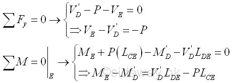
Besides, the different between the internal bending moment at point E and point D can also expressed using beam sections AD and EB. Imply
Shear in BeamThe difference of internal force, shear, between point D and point E of a standard beam section DE is equal to -P that is the shear difference is equal in magnitude but opposite in sense to the external force P. P can be the applied load or the equivalent force of all external forces.
For example, the difference of shear between point A and point D of the beam section AD is equal to -(-RA) because the reaction force at point A is in opposite sense to the convention of applied force P used and therefore as VA is equal to zero, VD is equal to RA+0=RA. In normal practice, when the beam section AD is extended to C rightward, i.e. beam section AC, the shear difference is still equal to RA because the section is assumed to be fixed at point C and the applied load P is ignored in practical calculation. The applied load P is counted again once the condisered beam section exceed position C, e.g. point E and the shear difference is equal to -(P-RA)=-RB because P is greater than RA and P is in same sense to the convention of the applied force P. And therefore as VA is equal to zero, VE is equal to -RB+0=-RB. Similarly from another end of the beam, the difference of shear between point B and point E of the beam section EB is equal to -(-RB) because the reaction force at point B is in opposite sense to the convention of applied force P and therefore as VB is equal to zero, -VE with standard convention is equal to -(-RB)-0 or VE is equal to -RB . In normal practice, when the beam section EB is extended to C leftward, i.e. beam section CB, the shear difference is still equal to RB because the section is assumed to be fixed at point C and the applied load P is ignored in practical calculation. The applied load P is counted again once the condisered beam section exceed position C, e.g. point D and the shear difference is equal to -((P-RB))=-(RA). And therefore as VB is equal to zero, -VD is equal to -RA-0=-RA or VD is equal to RA . So for the shear curve between point D and point E, the shear curve is a discontinuous horizontal line graph with a step change of -P at point C. But for normal practice, beam secion, e.g. beam sections AC and CB is always selected between two successive external concentrated loads, the shear curve is a horizontal line becaue the step change of -P is located at the beginning of the shear curve. In short, since VA is equal to zero, the shear curve of beam section AC is a horizontal line at VC=-(-RA)+VA=-(-RA)+0=RA. And since VC is not equal to zero, the shear curve of beam section CB is a horizontal line at VB=-(P)+VC= -(P-RA)=-RB. Shear Diagram
Bending Moment in BeamThe difference of internal force, bending moment, between point D and point E is equal to VDLDE -PLCE that is a function of the external force P, the internal shear force VD and the position of point C on the beam section DE; and the lenght of beam section LDE is of couse a variable of the bending moment difference. Besides when consider bending moment, the position of the point of the bending mement taking about, i.e. point E on the right hand side is also important in applying the convention of internal forces. PLCE can be the bending moment due to applied load or the equivalent bending moment due to all external forces.
Assuming the external force P is equal to zero, the curve of the bending moment becomes a oblique straight line with slope VD over the length LDE. Assuming the internal shear force VD is equal to zero, the curve of the bending moment becomes a horizontal straight line from point D to Point C because of no acting force on the beam, and is a negative oblique straight line with slope -P from point C to point E. Therefore the curve of bending moment due to all forces is oblique straight lines with positive slope VD from point D to point C and becomes a oblique straight line with negative slope -VD(LDC /LCE) from point C to point E.
For example, the difference of bending moment between point A and point D of the beam section AD is equal to 0-(-RA)LAD because VA is equal to zero and the bending moment due to reaction forcet RA is in opposite sense to the convention of bending moment due to P and therefore as MA is equal to zero, MD with standard convention is equal to RALAD+MA=RALAD+0=RALAD. In normal practice, when the beam section AD is extended to C rightward, e.g.. beam section AC, the bending moment difference is increased to RALAC linearly only because the section is assumed to be fixed at point C and the applied load P is ignored in practical calculation. The applied load P is counted again once the condisered beam section exceed position C e.g. point E and the bending moment difference is equal to 0-(PLCE-RALAE)=RALAE-PLCE=RBLEB because bending moment of the right hand side of point E is of same magnitude and same convention to the left side with correct sign of same sense of bending moment. And therefore as MA is equal to zero, ME with standard convention is equal to (RBLEB)+MA=(RBLEB)+0=RBLEB. Similarly, the difference of bending moment between point E and point B of the beam section EB is equal to (0+(-RB)LEB) because VB is equal to zero and the bending moment due to reaction forcet RB is in opposite sense to the convention of bending moment due to P and therefore as MB is equal to zero, -ME with standard convention is equal to -(RBLEB) or ME with standard convention is equal to(RBLEB. In normal practice, when the beam section EB is extended to C leftward, e.g. beam section CB, the bending moment difference is increase to RBLCB linearly only because the section is assumed to be fixed at point C and the applied load P is ignored in practical calculation. The applied load P is counted again once the condisered beam section exceed position C e.g. point D and the bending moment difference is equal to 0+(PLDC-RBLDB)=-(RBLDB-PLDC)=-(RALAD) bending moment of the left hand side of point D is of same magnitude and same convention to the right side with incorrect sign of same sense of bending moment. And therefore as MB is equal to zero, -MD with standard convention is equal to -(RALAD)-MA=-(RALAD)-0=-(RALAD) or MD is equal to RALAD. So there is a change of curve slope at point C. But for normal practice, the cutting beam section i.e. beam secions AC or CB is always between two successive external concentrated loads, the bending moment curve is a oblique straight line with slope of (VD-P) at the left hand side of the beam section with standard convection. In short, the slope of bending moment curve of beam section AC is (0-(-RA))=RA. And the slope of bending moment curve of beam section CB is (VC-P)=RA-P=-(P-RA)=-RB.
©sideway ID: 120900001 Last Updated: 9/1/2012 Revision: 0 Ref: References
Latest Updated Links
Nu Html Checker 53 na |
![]() Home 5 Business Management HBR 3 Information Recreation Hobbies 9 Culture Chinese 1097 English 339 Travel 44 Reference 79 Hardware 55 Computer Hardware 260 Software Application 213 Digitization 37 Latex 52 Manim 205 KB 1 Numeric 19 Programming Web 289 Unicode 504 HTML 66 CSS 65 SVG 46 ASP.NET 270 OS 431 DeskTop 7 Python 72 Knowledge Mathematics Formulas 8 Set 1 Logic 1 Algebra 84 Number Theory 206 Trigonometry 31 Geometry 34 Calculus 67 Engineering Tables 8 Mechanical Rigid Bodies Statics 92 Dynamics 37 Fluid 5 Control Acoustics 19 Natural Sciences Matter 1 Electric 27 Biology 1 |
Copyright © 2000-2026 Sideway . All rights reserved Disclaimers last modified on 06 September 2019