
TOCForceMomentCoupleSystem of ForcesStatic EquilibriumStructure AnalysisDistributed ForceFriction Force Draft for Information Only
Content
Summary of Internal Forces
in Beams
Summary of Internal Forces in BeamsThe drawing of the internal shearing force and bending moment diagrams for a beam can be summarized into a few steps. Free Body DiagramThe first step is to draw the free body diagram of the entire beam. The free body diagram of the beam provides a picture on the loads and reaction force acting on the beam and is used to determine the unknown reactions on beam supports. For example, ignoring the horizontal forces, a simply supported beam with concentrated load P1 at the middle of the beam and uniformly distributed load of w per unit length over the span LAB of the beam.
The unknown reactions at the beam supports can be determined by the equilibrium equations. For example
Imply
Conventions of Internal ForcesThe convention of forces used for drawing the external load diagram, shear diagram and bending moment diagram should be defined first because the diagram of external load, shear and bending moment is not a vector diagram according to the rectangular coordinate but a signed diagram of the sense of the external load, shear and bending moment used in defining the standard convention of the forces. Besides, when the senses of shear and bending moment on both sides of the imaginary plane is fixed, both the sign and magnitude of the forces determined from either side of the imaginary plane is the same because shear and bending moment defined on both sides of the imaginary plane are always equal in magnitude and opposite in sense.
External Load DiagramThe drawing of extrenal load diagram is usually not necessary because the accumulative load curve is equal to the negative or reverse sense of the shear curve. However an external load diagram can provides a more clear picture on the forces acting on the beam according to the convention used. For example, all external forces applied on the beam can be drawn on the external loads diagram according to the convention used, i.e. the concentrated load P1 and the distributed load w is positive as the load is pointing downward and the reaction force is negative as the reaction is pointing upward. Imply the load curve
And the accumulative load diagram is
Therefore the accumulative load curve is equal to the total signed area under the piecewise load curve. For example total external force between [0,1/2L) can be expressed as
Since the internal shear force is used to balance all the external force on one side of the beam, the shear force is equal to the accumulative load in magnitude but opposite in sense. Imply
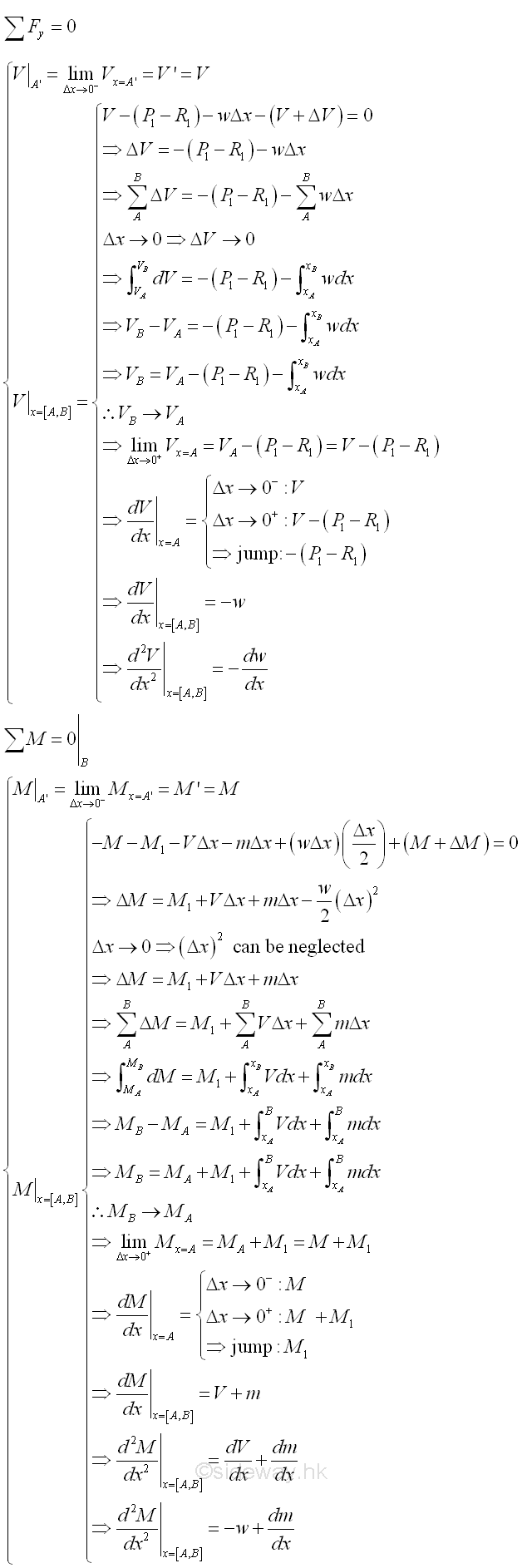
Relations among Load, Shear and Bending MomentWhen a concentrated force is applied at a point, the shear curve will be discontinuous at that point, and therefore the shear difference due to distributed load can only be considered between two successive concentrated loads. Similarly, when a concentrated couple is applied at a point, the bending moment curve will be discontinuous at that point, and therefore the bending moment difference due to distributed load can only be considered between two successive concentrated couples and two successive concentrated loads also. However, in general, concentrated loads and concentrated moment at ends of the interested beam segment can also be considered together with distributed load and distributed moment as seperated forces. Consider a free body diagram of an infinitesimal beam element AB of length Δx under all possible loads, i.e. concentrated load, distributed load, concentrated couple and distributed moment. Assumed the infinitesimal beam element AB is fixed on the right hand side of the beam element, point B, the concentrated load or concentrated couple acting on position B is ignored as usual. Imply
The total distributed load acting on the infinitesimal beam element is approximately equal to wΔx. And the total distributed moment acting on the infinitesimal beam element is approximately equal to mΔx. Assuming the shear difference between the ends of the infinitesimal beam element is Δx. And assuming the bending moment difference between the ends of the rigid infinitesimal beam element is ΔM. Relations derived from the equilibrium equations are.
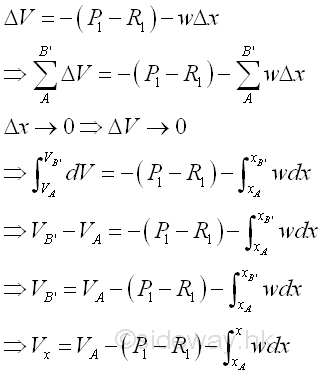
When deriving these relations, the positive signed convention used as the normal convention for both concentrated load and distributed load are force with negative sense, i.e. vector pointing downward and the positive signed convention used as the normal convention for both concentrated couple and distributed moment are moment with negative sense, i.e. clockwise moment. For example, the concentrated load P1 is with positive sign while the concentrate reaction R1 is with negative sign. Mathematicallly, the shear and bending moment at any point can be determined by calculating the value due to individual concentrated load and distributed load seperately and then adding up together. Shear DiagramFrom the derived relations, when a concentrated force is applied at a point, the shear curve will be discontinuous at that point, and causes a discontinuous jump equals to the negative of the resultant concentrated force with vertical slope at that point on the piecewise curve. And the slope of the piecewise curve due to the distributed load at any point is equal to the negative of the intensity of the distributed load w, a function of position, at that point. When considering a beam segment, AB' with the distributed load spread over the length AB', the shear difference between the imaginary planes A and B' is equal to
In general, the shear difference is equal to the negative of the sum of all forces between imaginary planes A and B'. When assuming the concentrated load as load per unit length and the distributed load as load per unit length, the shear difference can be considered as the negative of the total signed area under the load curve because the shear curve is an accumulative curve. The concavity of the piecewise shear curve can also be determined by the second derivative of the shear function, d2V/dx2. The portion of piecewise curve is concave download, if -dw/dx is less than zero. The portion of piecewise curve is convex upward, if -dw/dx is greater than zero. And the portion of piecewise curve is a straight line, if -dw/dx is equal to zero. The point is called the point of inflection when the point is located on the curve at which the value of the function, -dw/dx changes its sign, i.e. changes from concave to convex or vice versa. Therefore the shear curve is an oblique straight line of first degree when the distributed load is a horizontal straight line of zero degree. And the shear curve is a parabolic curve of second degree when the distributed load is an oblique straight line of first degree. Bending Moment DiagramFrom the derived relations, when a concentrated couple is applied at a point, the bending moment curve will be discontinuous at that point, and causes a discontinuous jump equals to the resultant concentrated couple with vertical slope at that point on the piecewise curve. And the slope of the piecewise curve at any point between the beam element is equal to the sum of the shear V and the intensity of the distributed moment m, both are a function of position, at that point. When considering a beam segment, AB' with the distributed moment spread over the length AB', the bending moment difference between the imaginary planes A and B' is equal to
In general, the bending moment difference is equal to the sum of all concentrated moment and distributed moment plus the signed area under the shear curve between imaginary planes A and B'. Mathematically, the integration of shear over a beam segment can be expressed as the sum of moment due to the distributed load. Imply
Therefore, when assuming the concentrated couple as moment per unit length, the distributed moment as the moment per unit length and the area under a shear curve infinitesimal segment as the moment due to the shear, the accumulative load, at that point, i.e. moment per unit length, the bending moment difference can be considered as the total signed area under the concentrated couple, the distributed moment curve and the shear curve because the bending moment curve is an accumulative curve. Besides, since the shear function is derived from the load function, when there is a discontinuity on the curve of load function, the shear function of the second piecewise shear curve should be adjusted by starting from the intergration the distributed load function to eliminate the duplicated load considered. The concavity of the piecewise bending moment curve can also be determined by the second derivative of the moment function, d2M/dx2. The portion of piecewise curve is concave download, if -w+dm/dx is less than zero. The portion of piecewise curve is convex upward, if -w+dm/dx is greater than zero. And the portion of piecewise curve is a straight line, if -w+dm/dx is equal to zero. The point is called the point of inflection when the point is located on the curve at which the value of the function, -w+dm/dx changes its sign, i.e. changes from concave to convex or vice versa. Therefore the bending moment curve is a parabolic curve of second degree when the distributed load is an oblique straight line of first degree. And the bending moment curve is a cubic curve of third degree when the distributed load is a parabolic curve of second degree. ©sideway ID: 120900005 Last Updated: 9/25/2012 Revision: 0 Ref: References
Latest Updated Links
Nu Html Checker 53 na |
![]() Home 5 Business Management HBR 3 Information Recreation Hobbies 9 Culture Chinese 1097 English 339 Travel 44 Reference 79 Hardware 55 Computer Hardware 260 Software Application 213 Digitization 37 Latex 52 Manim 205 KB 1 Numeric 19 Programming Web 289 Unicode 504 HTML 66 CSS 65 SVG 46 ASP.NET 270 OS 431 DeskTop 7 Python 72 Knowledge Mathematics Formulas 8 Set 1 Logic 1 Algebra 84 Number Theory 206 Trigonometry 31 Geometry 34 Calculus 67 Engineering Tables 8 Mechanical Rigid Bodies Statics 92 Dynamics 37 Fluid 5 Control Acoustics 19 Natural Sciences Matter 1 Electric 27 Biology 1 |
Copyright © 2000-2026 Sideway . All rights reserved Disclaimers last modified on 06 September 2019