
TOCForceMomentCoupleSystem of ForcesStatic EquilibriumStructure AnalysisDistributed ForceFriction ForceInternal Force Second Moment of an Area 1 Draft for Information Only
ContentSecond Moment of An Area of Geometric Shape
Second Moment of An Area of Geometric ShapeThe second moment of an area of a geometric shape can be determined by integration or the parallel-axis theorem. Imply
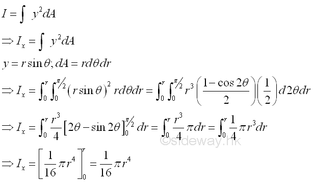
Moment of Inertia of AreasSecond Moment of Area of Semi-circleSecond Moment about x by Double Integration
The second moment of an area of a semicircle about the axis x is
Second Moment about y' by Double IntegrationThe second moment of an area of a rectangle about the centroidal axis y' is
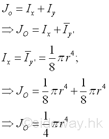
Polar Moment about O from Rectangular Moments of InertiaThe polar moment of an area of a rectangle about the center O is
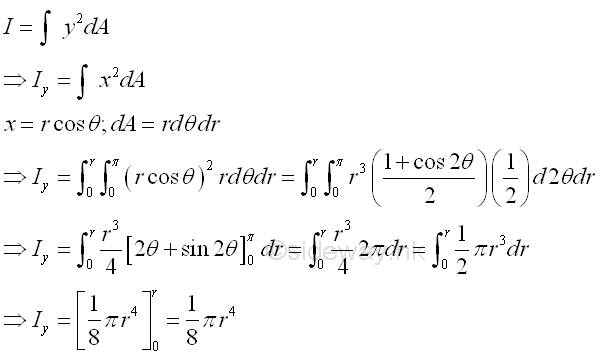
Second Moment of Area of Quarter-circleSecond Moment about x by Double Integration
The second moment of an area of a semicircle about the axis x is
Second Moment about y' by Double IntegrationThe second moment of an area of a rectangle about the centroidal axis y' is
Polar Moment about O from Rectangular Moments of InertiaThe polar moment of an area of a rectangle about the center O is
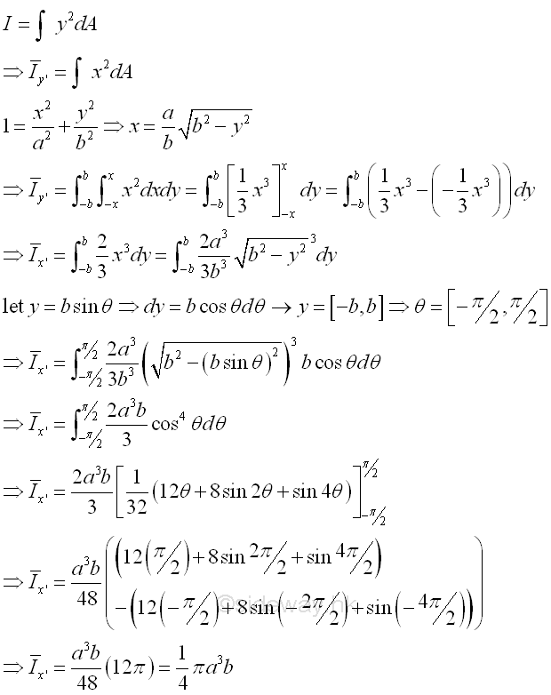
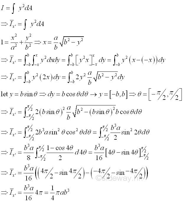
Second Moment of Area of EllipseSecond Moment about x' by Double Integration
The second moment of an area of a ellipse about the centroidal axis x' is
Second Moment about y' by Double Integration
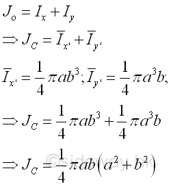
Polar Moment about C from Rectangular Moments of InertiaThe polar moment of an area of a circle about the centroid C is
©sideway ID: 121000008 Last Updated: 10/18/2012 Revision: 0 Ref: References
Latest Updated Links
Nu Html Checker 53 na |
![]() Home 5 Business Management HBR 3 Information Recreation Hobbies 9 Culture Chinese 1097 English 339 Travel 44 Reference 79 Hardware 55 Computer Hardware 260 Software Application 213 Digitization 37 Latex 52 Manim 205 KB 1 Numeric 19 Programming Web 289 Unicode 504 HTML 66 CSS 65 SVG 46 ASP.NET 270 OS 431 DeskTop 7 Python 72 Knowledge Mathematics Formulas 8 Set 1 Logic 1 Algebra 84 Number Theory 206 Trigonometry 31 Geometry 34 Calculus 67 Engineering Tables 8 Mechanical Rigid Bodies Statics 92 Dynamics 37 Fluid 5 Control Acoustics 19 Natural Sciences Matter 1 Electric 27 Biology 1 |
Copyright © 2000-2026 Sideway . All rights reserved Disclaimers last modified on 06 September 2019