
TOCForceMomentCoupleSystem of ForcesStatic EquilibriumStructure Analysis 2D Plane Body Center of Gravity, Center of Mass, & CentroidFirst Moment of 3D Body Draft for Information Only
Content
Centroid of 3D Body
Centroid of 3D BodyThe centroid of 3D Body is determined by the first moment of a three dimensional body with the method of the first moment of volume.
Centroids of VolumesVolume by IntegrationAlthough triple integration is usually required to determine the volume of 3D body. However volume of 3D body can also be determined by performing a double integration or a single integration. Volume by Double IntegrationIf the inner integration of the unit elemental volume can be expressed as a strip of elemental volume in one dimension.
For example, the signed volume of the 3D ellipic cylinder is bounded by surfaces in rectangular form , Imply
An elemental volume ΔV in rectangular form can be defined as Δx times Δy times Δz. Imply
An unit elemental volume can be expressed as
Therefore the unit elemental volume can be expressed as a strip of elemental volume of the solid cylinder U in the planar region R of cartesian coordinates yz. Imply
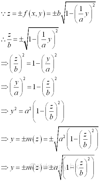
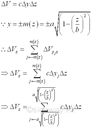
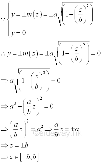
All unit elemental volumes can be bounded by curves in the plane yz. And the curves is
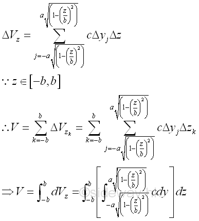
In general, the volume of a region can be determined by double integration through sweeping the signed elemental volume starting from along either rectangular coordinate axes. Imply Starting from horizontal sweeping along y axis
Consider an unit elemental volume ΔVyz along y axis horizontally. Imply
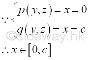
Since the bounding curves are joined at plane zx, The bounds of the bounding curves are
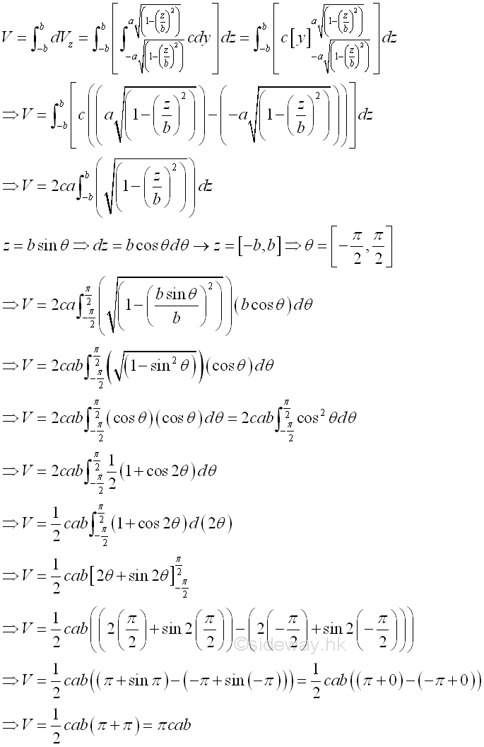
Therefore the volume of the solid cone U can be determined by
Therefore the volume of the solid cone U is
Volume by Single IntegrationIf the inner integration of the unit elemental volume can be expressed as a sheet of elemental volume in two dimensions.
For example, the signed volume of the 3D ellipic cylinder is bounded by surfaces in rectangular form , Imply
An elemental volume ΔV in rectangular form can be defined as Δx times Δy times Δz. Imply
An unit elemental volume can be expressed as
Therefore the unit elemental volume can also be expressed as a sheet of elemental volume of the solid cylinder U along the cartesian coordinate axis x. Imply
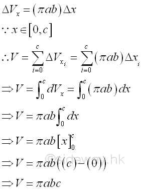
Sweeping the unit elemental volume ΔVx along x axis horizontally Since all unit elemental volumes of ΔVx are bounded along x axis, imply
Therefore the volume of the solid cone U is
©sideway ID: 120600013 Last Updated: 7/3/2012 Revision: 0 Ref: References
Latest Updated Links
Nu Html Checker 53 na |
![]() Home 5 Business Management HBR 3 Information Recreation Hobbies 9 Culture Chinese 1097 English 339 Travel 44 Reference 79 Hardware 55 Computer Hardware 260 Software Application 213 Digitization 37 Latex 52 Manim 205 KB 1 Numeric 19 Programming Web 289 Unicode 504 HTML 66 CSS 65 SVG 46 ASP.NET 270 OS 431 DeskTop 7 Python 72 Knowledge Mathematics Formulas 8 Set 1 Logic 1 Algebra 84 Number Theory 206 Trigonometry 31 Geometry 34 Calculus 67 Engineering Tables 8 Mechanical Rigid Bodies Statics 92 Dynamics 37 Fluid 5 Control Acoustics 19 Natural Sciences Matter 1 Electric 27 Biology 1 |
Copyright © 2000-2026 Sideway . All rights reserved Disclaimers last modified on 06 September 2019