
TOCForceMomentCoupleSystem of ForcesStatic EquilibriumStructure Analysis 2D Plane Body Center of Gravity, Center of Mass, & CentroidFirst Moment of 3D Body Draft for Information Only
Content
Centroid of 3D Body
Centroid of 3D BodyThe centroid of 3D Body is determined by the first moment of a three dimensional body with the method of the first moment of volume.
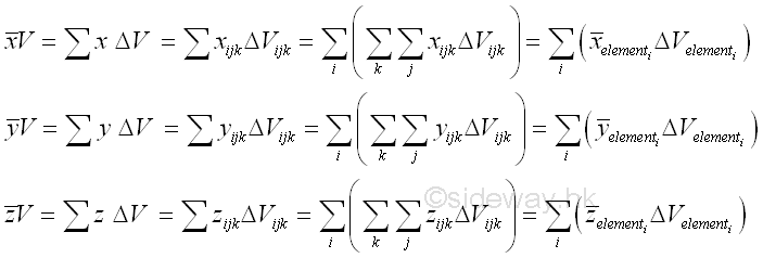
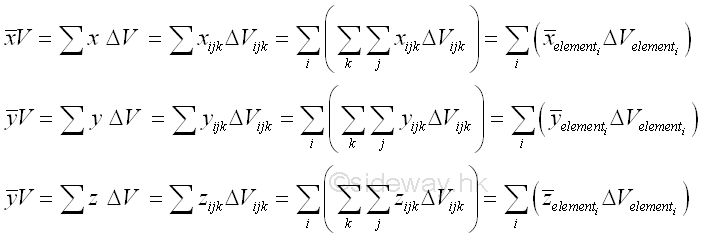
Centroids of VolumesThe using of unit elemental volume of an object to determine the centroid of a 3D body volume can be expressed as
Centroid by IntegrationA triple integation is needed to evaluate with respect to the three varables. Similar to finding the volume of a 3D object body, the centroid of a 3D volume can usually be determined by performing a single integration or a double integration also. Centroid by Double IntegrationThe unit elemental volumes of an object used to determine the centroid of a 3D body can be rearranged into grouped elemental volumes. Imply
After the grouping of unit elemental volumes into one elemental volume, the coordinates of the centroid of a volume can also be determined by double integration in a similar way by considering the centroid of each elemental volume block. Imply
Centroid of Volume by Double Integration
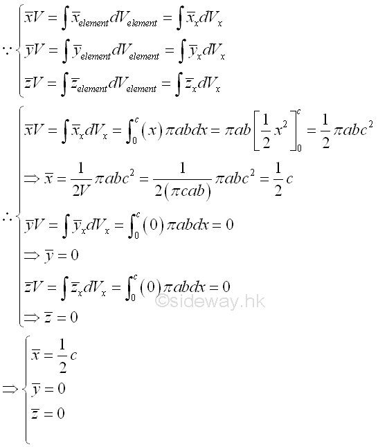
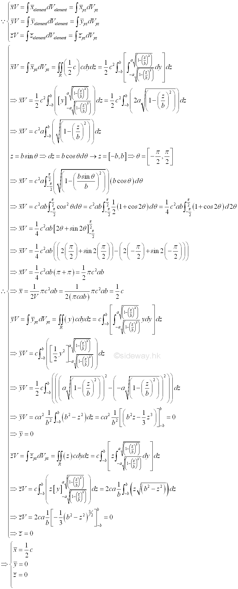
For example, the signed volume of the 3D ellipic cylinder is bounded by surfaces in rectangular form , Imply
The unit element volume of a region can be grouped into either a small vertical rectangular block or a small horizontal rectangular block . And the elemental volume ΔV becomes
Considering the small horizontal rectangular block as the element volume, the centroid of the rectangular block can be determined by a single integration through sweeping the elemental centroid of the elemental rectangular block along the rectangular coordinate axis accordingly. Imply By sweeping the element of horizontal rectangular block along x axis horizontally Centroid of horizontal rectangular block. Imply
Therefore, centroid of the bounded volume is
Centroid by Single IntegrationThe unit elemental volumes of an object used to determine the centroid of a 3D body can be rearranged into grouped elemental volumes. Imply
After the grouping of unit elemental volumes into one elemental volume, the coordinates of the centroid of a volume can also be determined by one single integration in a similar way by considering the centroid of each elemental volume block. Imply
Centroid of Volume by Double IntegrationVolume by Single Integration
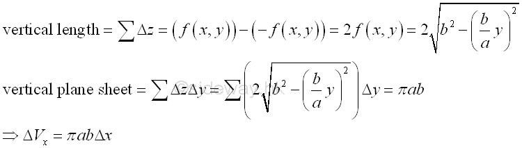
For example, the signed volume of the 3D ellipic cylinder is bounded by surfaces in rectangular form , Imply
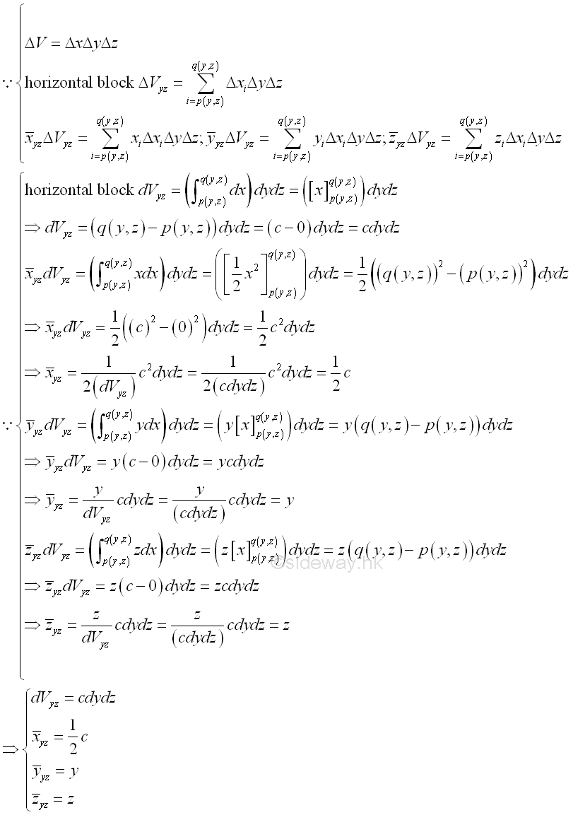
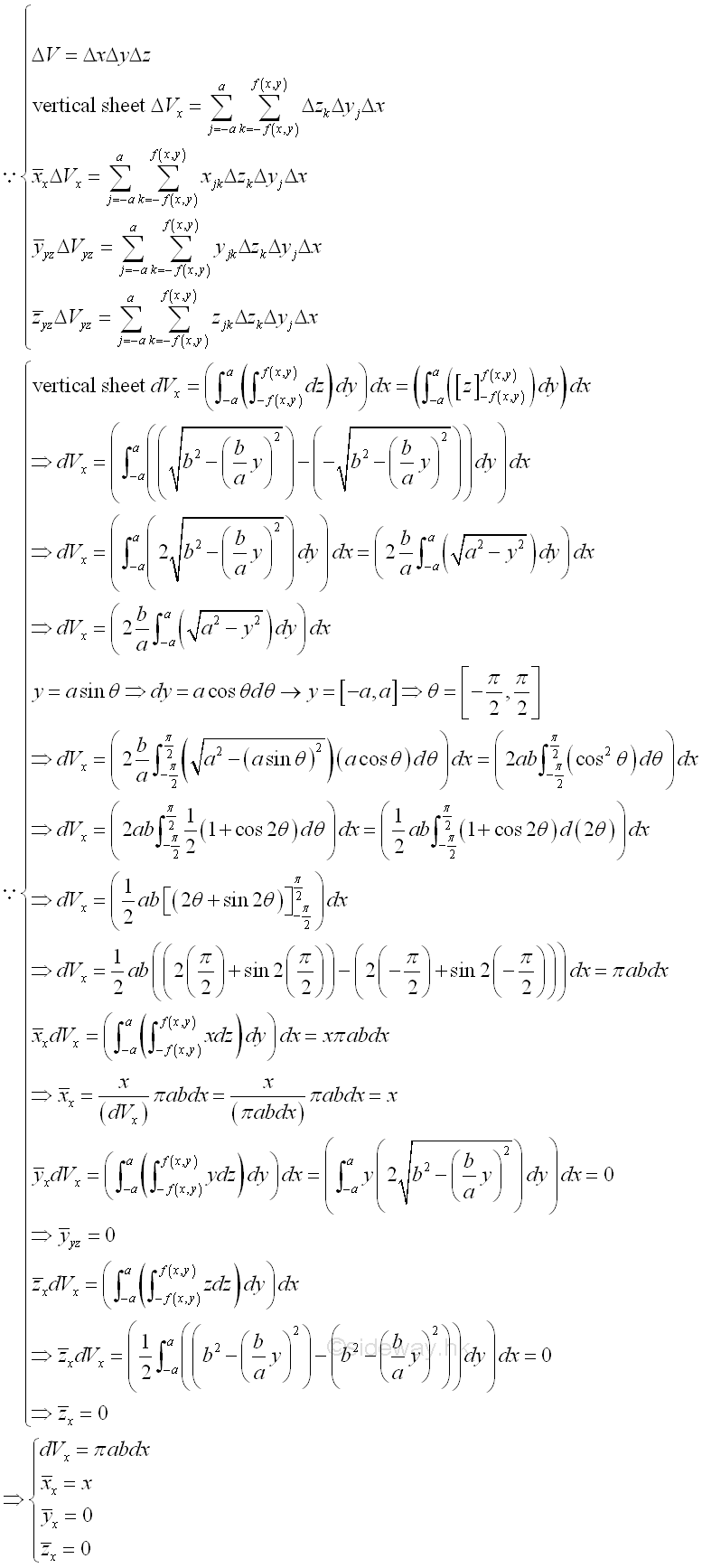
The unit element volume of a region can be grouped into either a thin vertical plane sheet or a thin horizontal plane sheet . And the elemental volume ΔV becomes
Considering the thin vertical plane sheet as the element volume, the centroid of the thin vertical plane sheet can be determined by a double integration through sweeping the elemental centroid of the elemental plane sheet along the rectangular coordinate axis accordingly. Imply By staring with sweeping the element of vertical plane sheet along y axis horizontally Centroid of vertical plane sheet. Imply
Therefore, centroid of the bounded volume is
©sideway ID: 120700001 Last Updated: 7/6/2012 Revision: 0 Ref: References
Latest Updated Links
Nu Html Checker 53 na |
![]() Home 5 Business Management HBR 3 Information Recreation Hobbies 9 Culture Chinese 1097 English 339 Travel 44 Reference 79 Hardware 55 Computer Hardware 260 Software Application 213 Digitization 37 Latex 52 Manim 205 KB 1 Numeric 19 Programming Web 289 Unicode 504 HTML 66 CSS 65 SVG 46 ASP.NET 270 OS 431 DeskTop 7 Python 72 Knowledge Mathematics Formulas 8 Set 1 Logic 1 Algebra 84 Number Theory 206 Trigonometry 31 Geometry 34 Calculus 67 Engineering Tables 8 Mechanical Rigid Bodies Statics 92 Dynamics 37 Fluid 5 Control Acoustics 19 Natural Sciences Matter 1 Electric 27 Biology 1 |
Copyright © 2000-2026 Sideway . All rights reserved Disclaimers last modified on 06 September 2019