
Sound Propagation Draft for Information Only 
Thermodynamic Equation of State
    Since sound fluctuation can be treated as an adiabatic process, the  
    pressure is a function of density fluctuation only. That is   
     It can be expressed by Taylor series expansion as following  
Since the acoustic fluctuation is small, the density variation is small also. The ρ2 and higher power terms can be neglected for acoustic fluctuation with moderate sound pressure. Implies:  
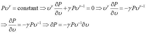
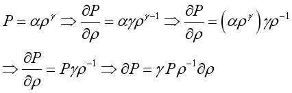
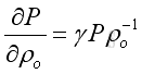
The relation of acoustic pressure variation and acoustic density variation becomes linear. Similarly, as sound fluctuation is assumed an adiabatic process, the fractional change of pressure per displacement change in term of density and specific volume generally can be expressed as 
     or  
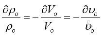
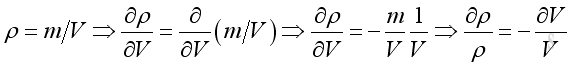
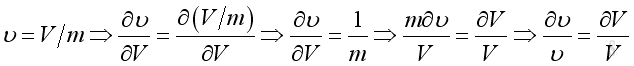
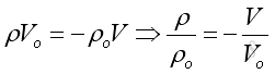
For a fixed of mass, the fractional change of density and specific volume per volume change are  
or  
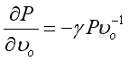
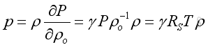
As the equilibrium pressure is much greater than the acoustic pressure, the acoustic variation of density, volume or specific volume only cause a very small acoustic pressure variation in the equilibrium pressure. Therefore, taking the fractional change at the equilibrium state is accurate enough to relate the acoustic pressure and the acoustic variation of density, volume or specific volume. And can be expressed as: 
     where P is pressure of medium at initial state  Sub into the Tayor expansion and together with the ideal gas law, then the relationship between acoustic pressure and acoustic density variations are :  
where 
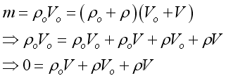
    p is acoustic pressure variation Therefore the relationship can be a function of absolute temperature of the medium. Considering a fixed mass with a small changes in volume and density, then:  
where 
    ρo is initial density of medium By neglecting the product of small quantities, then:  
Therefore, by rearrangement, the acoustic pressure can also be expressed as a function of volumetric strain:  
where 
    V is acoustic volumetric variation  ©sideway ID: 100900018 Last Updated: 9/11/2010 Revision: 0 Latest Updated Links 
     Nu Html Checker  53  na  | 
    ![]() Home 5 Business Management HBR 3 Information Recreation Hobbies 8 Culture Chinese 1097 English 339 Travel 18 Reference 79 Hardware 27 Computer Hardware 259 Software Application 213 Digitization 37 Latex 52 Manim 205 KB 1 Numeric 19 Programming Web 289 Unicode 504 HTML 66 CSS 65 SVG 46 ASP.NET 270 OS 431 DeskTop 7 Python 72 Knowledge Mathematics Formulas 8 Set 1 Logic 1 Algebra 84 Number Theory 206 Trigonometry 31 Geometry 34 Calculus 67 Engineering Tables 8 Mechanical Rigid Bodies Statics 92 Dynamics 37 Fluid 5 Control Acoustics 19 Natural Sciences Matter 1 Electric 27 Biology 1  | 
Copyright © 2000-2025 Sideway . All rights reserved Disclaimers last modified on 06 September 2019