
Sound PropagationEquation of StateLaw of ConservationAcoustic Wave Propagation, 1D Draft for Information Only
Content
Acoustic Plane Wave
Acoustic Plane WaveFor a 1D acoustic plane wave in x direction,:
where
p is a function of
x and t.
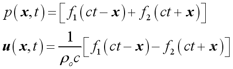
The general solution of the equation is an arbitrary wave propagation along positive x direction and negative x direction.
For ct-x, the propagation of pressure fluctuation should be repeated after the period ct-x, therefore after time t, the wave should propagate a distance x in positive direction outwardly. But for ct+x, the propagation of pressure fluctuation should be repeated after the period ct+x, therefore after time t, the wave should propagate a distance x in negative direction inwardly. Since p is a function of x and t, it is characteristic by a double periodicity. In time domain
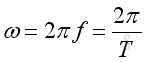
where
ω is angular velocity And in physical domain:
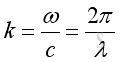
where
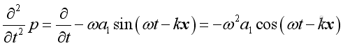
k is wave number Consider a solution of the form:
where
ω is the angular frequency
and
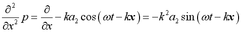
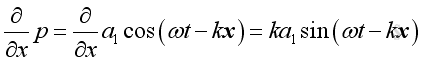
Substituting into the 1D wave equation and the form of solution is confirmed.
Therefore the general harmonic wave solution of wave equation is:
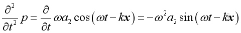
Similarly, consider a solution of the form:
where
ω is the angular frequency
and
Substituting into the 1D wave equation and the form of solution is confirmed also. Since the 1D wave equation is linearized by making the differential coefficient is of first order only, the sum of two solution forms is also a solution of the wave equation. The differences between two solutions are the phase angle and the magnitude.
The general expression of a harmonic function is:
and it can be decomposed into sinusoidal and cosinusoidal components in quadrature of 90 degrees out of phase:
These two components can be individual harmonic function with arbitrary phase angle φ as in the first two solutions. Or they can be linked solution in a linear system in which the phase angle is not an arbitrary and is related as in the above solution: Complex Exponential RepresentationSince in complex system,
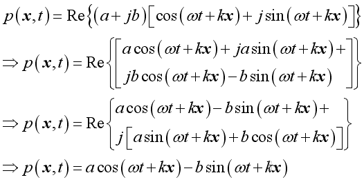
The solution of wave equation can be expressed in a complex exponential form,
where
à is Complex function of the form
a+jb
Since it is a complex function, the real
acoustic pressure function can be represented by the real
part of the complex expression.
By comparing with the wave equation solution, imply:
Therefore, the general complex harmonic wave solution of 1D wave equation is :
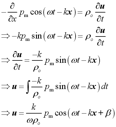
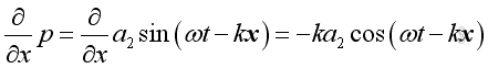
Plane Wave PropertiesConsider a plane wave propagates along positive x direction:
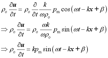
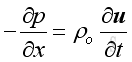
From the linearized conservation of momentum, the relationship between acoustic pressure and acoustic velocity is:
Therefore:
The differences in magnitude between
acoustic pressure and acoustic velocity are the relative
magnitude and the relative phase angle.
Imply :
Therefore the relationship between acoustic pressure and acoustic velocity is:
In general:
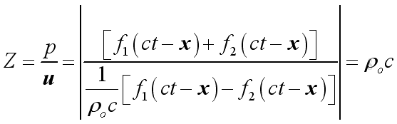
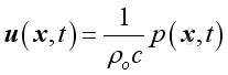
Medium Acoustic ImpedanceThe acoustic impedance of a medium is defined as the ratio of acoustic pressure to the acoustic velocity, Then
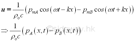
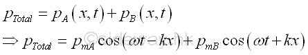
For air, z=400 Plane Wave SuperimpositionConsider two harmonic plane waves propagate of the same frequency along positive x direction and negative x direction respectively. The pressure fluctuation of two harmonic plane waves i.e. A along positive x direction and B along negative x direction are
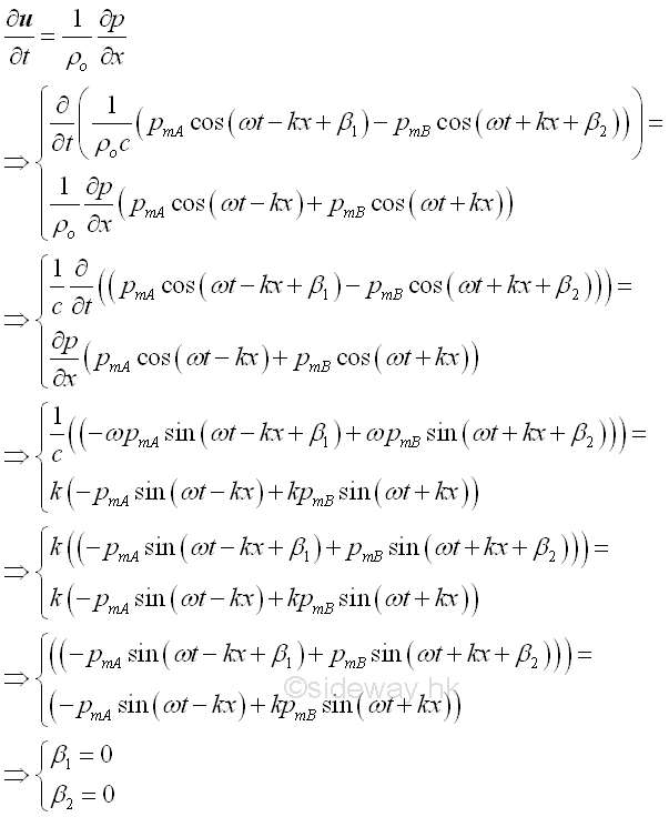
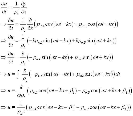
If the two harmonic plane waves are in phase at x=0, then the phase angle at x is equal to zero also. Therefore the pressure fluctuation of two harmonic plane waves at x are
The total sound pressure at x is
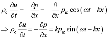
According to the linearized equation of motion,
Imply,
From the linearized equation of motion, imply
Therefore, the vector sum of the particle velocity at x is
©sideway ID: 100900021 Last Updated: 7/30/2012 Revision: 2 Ref: References
Latest Updated Links
Nu Html Checker 53 na |
![]() Home 5 Business Management HBR 3 Information Recreation Hobbies 9 Culture Chinese 1097 English 339 Travel 44 Reference 79 Hardware 55 Computer Hardware 260 Software Application 213 Digitization 37 Latex 52 Manim 205 KB 1 Numeric 19 Programming Web 289 Unicode 504 HTML 66 CSS 65 SVG 46 ASP.NET 270 OS 431 DeskTop 7 Python 72 Knowledge Mathematics Formulas 8 Set 1 Logic 1 Algebra 84 Number Theory 206 Trigonometry 31 Geometry 34 Calculus 67 Engineering Tables 8 Mechanical Rigid Bodies Statics 92 Dynamics 37 Fluid 5 Control Acoustics 19 Natural Sciences Matter 1 Electric 27 Biology 1 |
Copyright © 2000-2026 Sideway . All rights reserved Disclaimers last modified on 06 September 2019