
Sound PropagationEquation of StateLaw of ConservationAcoustic Wave Propagation, 1DAcoustic Plane WaveAcoustic Plane Wave PropertiesAcoustic 3D Plane Wave Draft for Information Only
Content Acoustic Spherical Wave
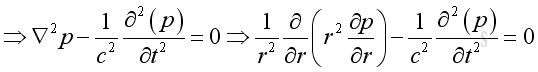
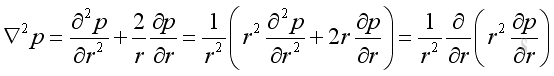
Acoustic Spherical WaveWhen a small spherical sound source propagates outward uniformly and radically in a free space. The acoustic functions are spherically symmetric and therefore are functions of time and radial coordinate only. Acoustic Spherical Wave EquationSince there is no tangential motion during wave propagation, the spatial operator on the pressure in the wave equation can be converted to
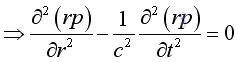
substitute the spherical operator into the rectangular wave equation:
Therefore the 3D wave equation in spherical coordinate system is:
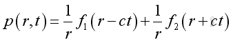
Acoustic Spherical WaveThe general solution of the spherical wave is:
for harmonic wave, it can be expressed as
or
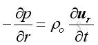
The acoustic pressure of a spherical wave is inversely proportional to the distance from the source. Therefore when the distance r is doubled, the pressure will be reduced by 6dB. Since there is no tangential motion in spherically symmetric wave, a linearized relationship with spherical coordinates between radial velocity and radial pressure from the momentum conservation can be obtained:
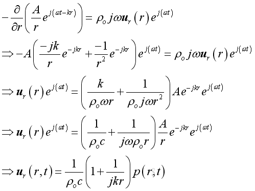
Assume the radial velocity of the form
The time derivative of the velocity is:
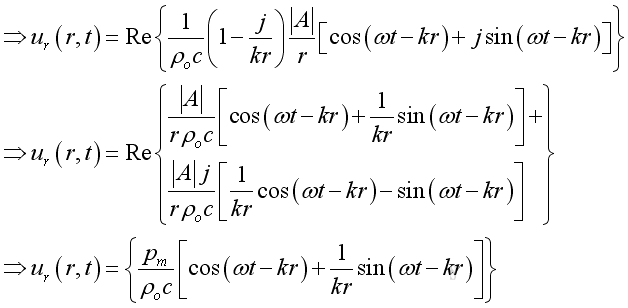
Substitute all variables into the momentum conservation equation and get the radial velocity in term of its acoustic pressure :
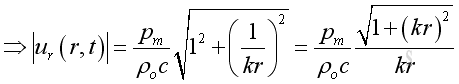
Substitute acoustic pressure into the acoustic velocity imply the real part of acoustic velocity :
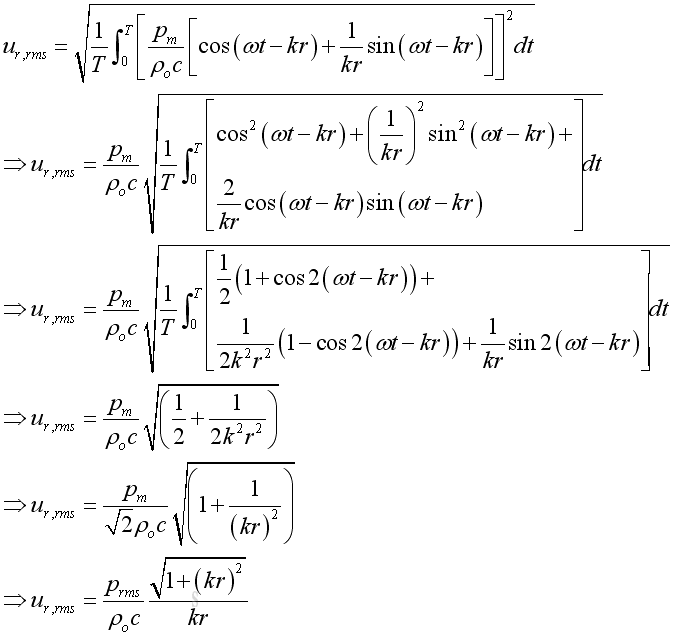
Therefore the modulus or absolute value is:
The acoustic velocity composes of two parts. The first part is in phase with the acoustic pressure with property 1/r as the propagating part. While the second part is not in phase with the acoustic pressure with property 1/r2 as the evanescent part. When the in phase component is comparable to the not in phase component, the position of interest is in the near field. Otherwise it is in the far field. The root mean square velocity is:
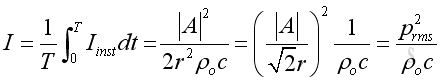
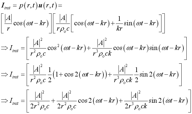
Acoustic Intensity Similar to the plane wave, the instantaneous intensity is:
Similarly, the intensity usually expressed as an average in practice. The mean or time average intensity, in which the cosine and sine term of function of time becomes zero, imply:
Although the expression for a spherical wave is same as that for the plane wave, the root mean square acoustic pressure is no longer a constant and is inversely proportion to the distance r from the source. Besides, only the propagating component contributes the intensity. The evanescent component is not in phase with the pressure becomes zero after the time average process because of its oscillating property Acoustic Power The total acoustic power is the integration of intensity over the spherical area enclosing the enclosure and equals
The total acoustic power is a constant and independent of distance r. Since the acoustic pressure is inversely proportion to r and the spherical surface area is proportion to r2. As intensity is proportion to square acoustic pressure, the distance r will be cancelled. ©sideway ID: 101000015 Last Updated: 10/16/2010 Revision: 0 Ref: References
Latest Updated Links
Nu Html Checker 53 na |
![]() Home 5 Business Management HBR 3 Information Recreation Hobbies 9 Culture Chinese 1097 English 339 Travel 44 Reference 79 Hardware 55 Computer Hardware 260 Software Application 213 Digitization 37 Latex 52 Manim 205 KB 1 Numeric 19 Programming Web 289 Unicode 504 HTML 66 CSS 65 SVG 46 ASP.NET 270 OS 431 DeskTop 7 Python 72 Knowledge Mathematics Formulas 8 Set 1 Logic 1 Algebra 84 Number Theory 206 Trigonometry 31 Geometry 34 Calculus 67 Engineering Tables 8 Mechanical Rigid Bodies Statics 92 Dynamics 37 Fluid 5 Control Acoustics 19 Natural Sciences Matter 1 Electric 27 Biology 1 |
Copyright © 2000-2026 Sideway . All rights reserved Disclaimers last modified on 06 September 2019