
Sound PropagationEquation of State Draft for Information Only 
    Content 
    Law of Conservation
    
    Law of Conservation
    Based on linear acoustic, assuming the 
    cross-section area equals to A and no mass is entering or leaving the system due to the acoustic 
    disturbance, the wave propagation can be represented by following figure:  
where, at ambient environment and at acoustic disturbance state: 
     
    where, 
    properties of acoustic disturbance:   
    where, 
    properties at wavefront:   
Continuity Equation, 1D
    For a control volume, from the principle of conservation of mass, the instantaneous rate of change of 
    mass in a control volume equals to the net mass flux flow into or out 
    of the control volume, therefore:   
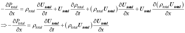
The relationship between density and velocity is defined Euler's Equation of Inviscid Motion, 1D
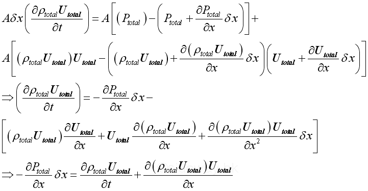
    For a control volume, from principle of momentum conservation, the 
    instantaneous rate of change of net momentum of a control 
    volume equals to the net applied force and the net momentum change due to the 
    momentum flux flow into or out of the control volume. The  applied force in 
    this case is pressure only and no other forces, no gravity, no viscous force 
    etc., then:  
Since both Utotal , ρtotal are a function of time, imply:  
Therefore, because of conservation of mass, the equation is:  
As the medium fluid is assumed to be inviscid, the assumption of inviscid flow is valid for sound propagation and the euler's equation of motion can be applied. The additional relationship between pressure and velocity is defined Energy Equation, 1D
    For a control volume, from principle of energy conservation, rate of change of 
    energy equal to rate of heat added and the net rate of energy flow into or out 
    of the control volume minus the rate of work done. By neglecting heat energy 
    and external work, and potential energy then:  
The additional relationship between Enthalpy and velocity is defined. ©sideway ID: 100900019 Last Updated: 9/17/2010 Revision: 1 Ref: References 
 Latest Updated Links 
     Nu Html Checker  53  na  | 
    ![]() Home 5 Business Management HBR 3 Information Recreation Hobbies 8 Culture Chinese 1097 English 339 Travel 18 Reference 79 Hardware 26 Computer Hardware 259 Software Application 213 Digitization 37 Latex 52 Manim 205 KB 1 Numeric 19 Programming Web 289 Unicode 504 HTML 66 CSS 65 SVG 46 ASP.NET 270 OS 431 DeskTop 7 Python 72 Knowledge Mathematics Formulas 8 Set 1 Logic 1 Algebra 84 Number Theory 206 Trigonometry 31 Geometry 34 Calculus 67 Engineering Tables 8 Mechanical Rigid Bodies Statics 92 Dynamics 37 Fluid 5 Control Acoustics 19 Natural Sciences Matter 1 Electric 27 Biology 1  | 
Copyright © 2000-2025 Sideway . All rights reserved Disclaimers last modified on 06 September 2019