
TOCForceMomentCoupleSystem of ForcesStatic EquilibriumStructure Analysis Center of Gravity, Center of Mass, & CentroidFirst Moment of Plane Body Draft for Information Only
Content
Centroid of 2D
Plane Body
Centroid of 2D Plane BodyThe centroid of an plate is determined by the first moment of a two dimensional plane body with the method of the first moment of area.
And the centroid of a wire is determined by the first moment of a two dimensional plane body with the method of the first moment of line.
Centroids of AreasArea by IntegrationArea by Double Integration
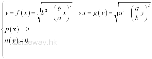
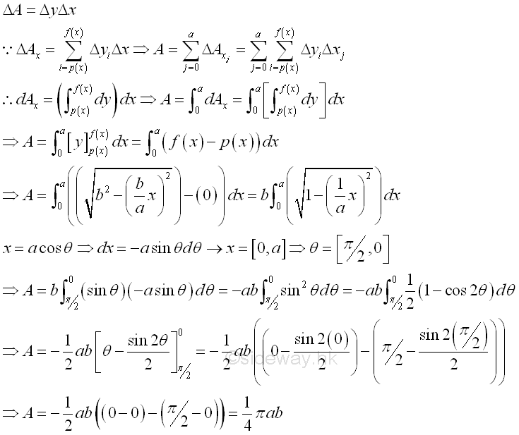
For example, the signed area of the planar region R is bounded by curves in rectangular form , Imply
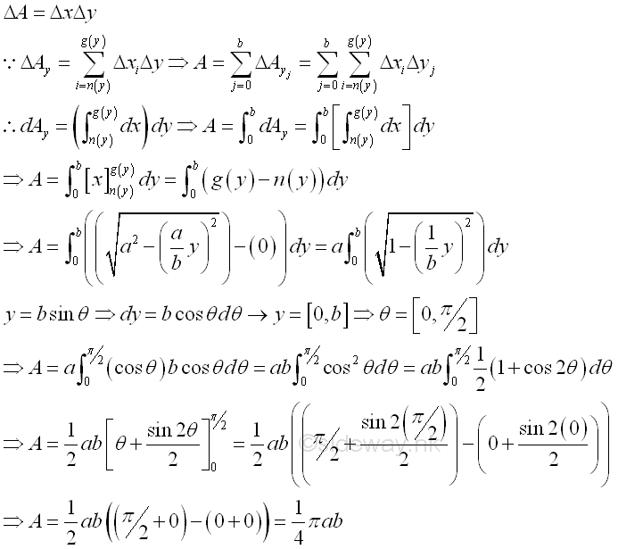
An elemental area ΔA in rectangular form can be defined as Δx times Δy. Imply
In general, the area of a region can be determined by multiple integration through sweeping the signed elemental area starting from along either rectangular coordinate axis. Imply Starting from horizontal sweeping along x axis
Starting from vertical sweeping along y axis
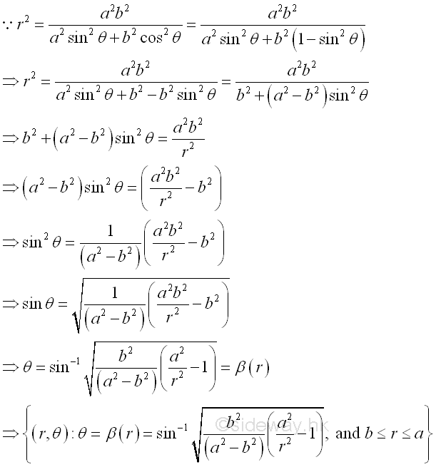
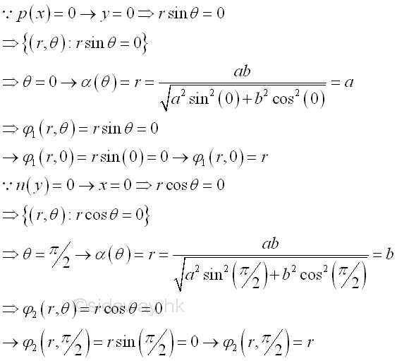
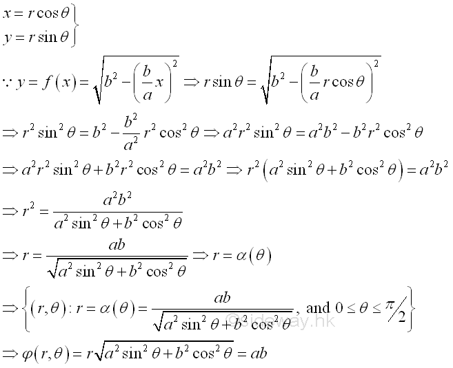
And for curves in polar form
For example, the signed area of the planar region R is bounded by curves in polar form , For the curve profile, Imply
And the curve profile in terms of θ, imply
And other boundary curves are
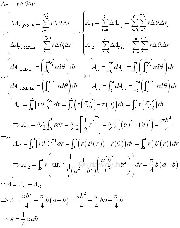
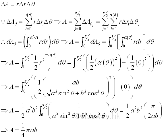
An elemental area ΔA in polar form can be approximated by Δr times rΔθ. Imply
Unlike rectangular form, the polar form of an elemental area ΔA is not a constant but a function of r and in turn a function of θ also. In general, the area of a region can be determined by multiple integration through sweeping the signed elemental area starting from along either polar variables. Imply Starting from radical sweeping along variable radius r
Starting from circular sweeping along variable angle θ,
©sideway ID: 120500016 Last Updated: 6/2/2012 Revision: 1 Ref: References
Latest Updated Links
Nu Html Checker 53 na |
![]() Home 5 Business Management HBR 3 Information Recreation Hobbies 9 Culture Chinese 1097 English 339 Travel 44 Reference 79 Hardware 55 Computer Hardware 260 Software Application 213 Digitization 37 Latex 52 Manim 205 KB 1 Numeric 19 Programming Web 289 Unicode 504 HTML 66 CSS 65 SVG 46 ASP.NET 270 OS 431 DeskTop 7 Python 72 Knowledge Mathematics Formulas 8 Set 1 Logic 1 Algebra 84 Number Theory 206 Trigonometry 31 Geometry 34 Calculus 67 Engineering Tables 8 Mechanical Rigid Bodies Statics 92 Dynamics 37 Fluid 5 Control Acoustics 19 Natural Sciences Matter 1 Electric 27 Biology 1 |
Copyright © 2000-2026 Sideway . All rights reserved Disclaimers last modified on 06 September 2019