
TOCForceMomentCoupleSystem of ForcesStatic EquilibriumStructure Analysis Center of Gravity, Center of Mass, & CentroidFirst Moment of Plane Body Draft for Information Only
Content
Centroid of 2D
Plane Body
Centroid of 2D Plane BodyThe centroid of an plate is determined by the first moment of a two dimensional plane body with the method of the first moment of area.
And the centroid of a wire is determined by the first moment of a two dimensional plane body with the method of the first moment of line.
Centroids of AreasCentroid by Single IntegrationThe unit elemental areas of an object used to determine the centroid of a 2D plane area can be rearranged into groupped elemental areas. Imply
After the grouping of unit elemental areas into one elemental area, the coordinates of the centroid of an area can also be determined by one single integration in a similar way by considering the centroid of each elemental area strip. Imply
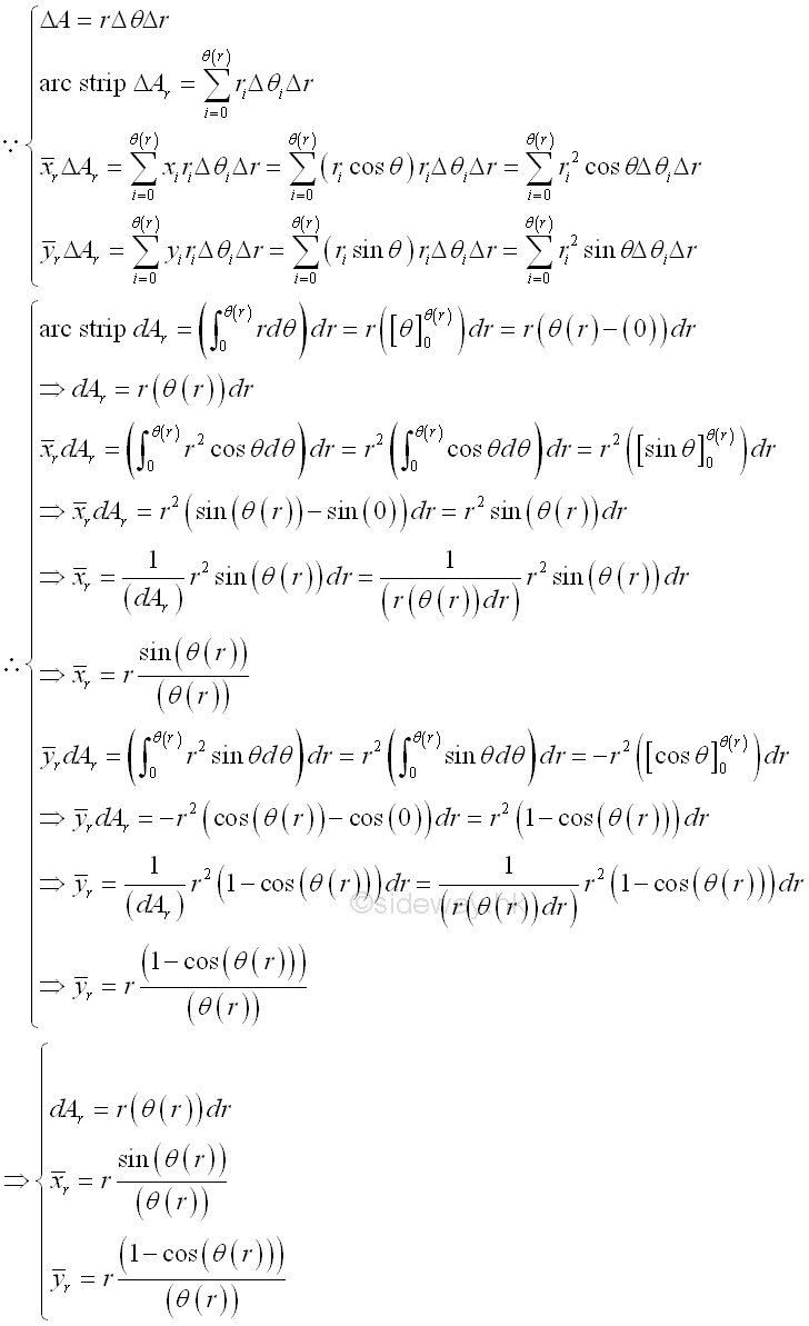
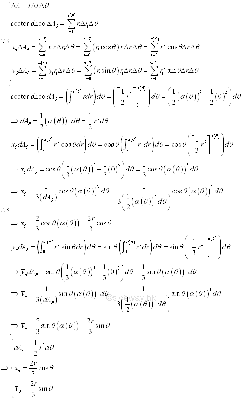
Centroid of Area by Single IntegrationAnd for curves in polar form
For example, the signed area of the planar region R is bounded by curves in polar form, Imply
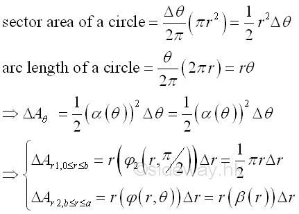
The unit element area of a region can be grouped into either a thin circular arc strip or a thin slice of circular sector. And the element area GA in polar form becomes
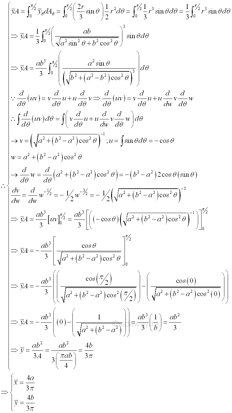
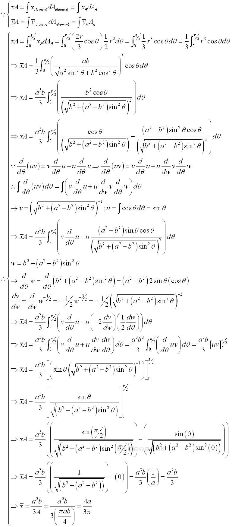
By using a thin circular arc strip, or using a thin slice of circular sector as the element area, the centroid of the planar region can be determined by a single integration through sweeping the the elemental centroid of the elemental area strip or slice along either polar variables. Imply By sweeping the centroid of circular sector slice along variable angle θ circularly Centroid of circular sector slice. Imply
Therefore, centroid of the bounded area is
Similarly,
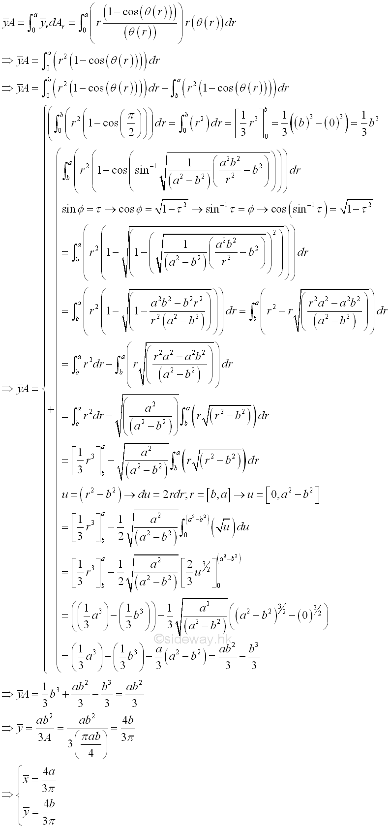
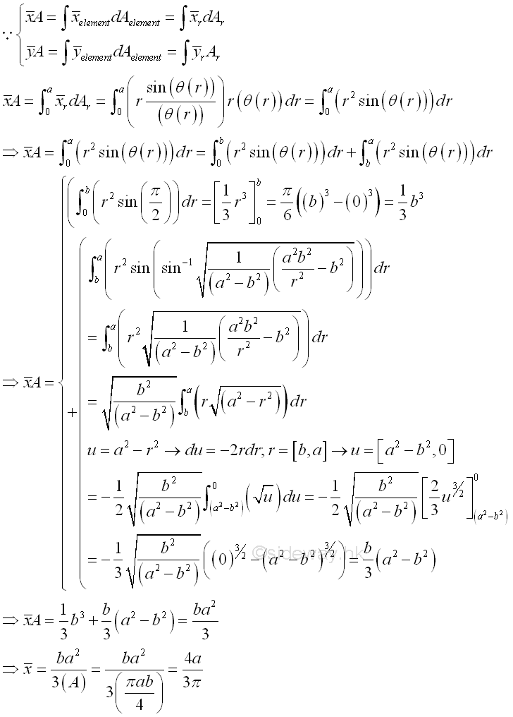
By sweeping the centroid of circular arc strip along variable radius r radically Centroid of circular arc strip. Imply
Therefore, centroid of the bounded area is
Similarly,
©sideway ID: 120600005 Last Updated: 6/7/2012 Revision: 0 Ref: References
Latest Updated Links
Nu Html Checker 53 na |
![]() Home 5 Business Management HBR 3 Information Recreation Hobbies 9 Culture Chinese 1097 English 339 Travel 44 Reference 79 Hardware 55 Computer Hardware 260 Software Application 213 Digitization 37 Latex 52 Manim 205 KB 1 Numeric 19 Programming Web 289 Unicode 504 HTML 66 CSS 65 SVG 46 ASP.NET 270 OS 431 DeskTop 7 Python 72 Knowledge Mathematics Formulas 8 Set 1 Logic 1 Algebra 84 Number Theory 206 Trigonometry 31 Geometry 34 Calculus 67 Engineering Tables 8 Mechanical Rigid Bodies Statics 92 Dynamics 37 Fluid 5 Control Acoustics 19 Natural Sciences Matter 1 Electric 27 Biology 1 |
Copyright © 2000-2026 Sideway . All rights reserved Disclaimers last modified on 06 September 2019