
TOCForceMomentCoupleSystem of ForcesStatic EquilibriumStructure Analysis Center of Gravity, Center of Mass, & CentroidFirst Moment of Plane Body Draft for Information Only
Content
Centroid of 2D
Plane Body
Centroid of 2D Plane BodyThe centroid of an plate is determined by the first moment of a two dimensional plane body with the method of the first moment of area.
And the centroid of a wire is determined by the first moment of a two dimensional plane body with the method of the first moment of line.
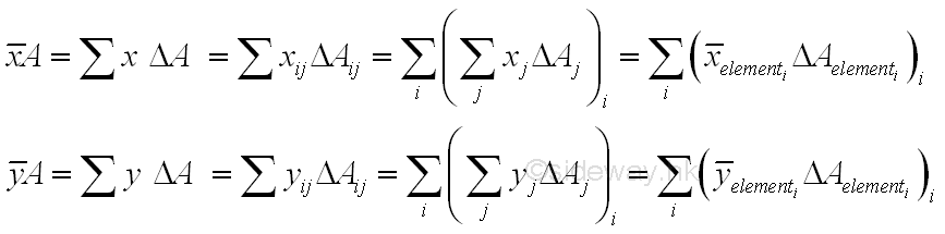
Centroids of AreasThe using of unit elemental areas of an object to determine the centroid of a 2D plane area can be expressed as
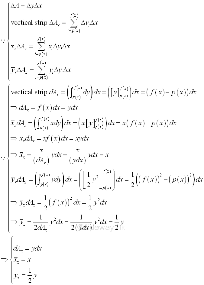
A double integation is needed to evaluate with respect to the two varables. Similar to finding the area of a 2D plane object, the centroid of an area can usually be determined by performing a single integration also. Centroid by Single IntegrationThe unit elemental areas of an object used to determine the centroid of a 2D plane area can be rearranged into grouped elemental areas. Imply
After the grouping of unit elemental areas into one elemental area, the coordinates of the centroid of an area can also be determined by one single integration in a similar way by considering the centroid of each elemental area strip. Imply
Centroid of Area by Single Integration
For example, the signed area of the planar region R is bounded by curves in rectangular form , Imply
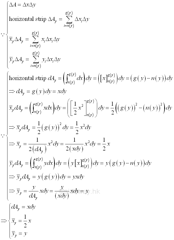
The unit element area of a region can be grouped into either a thin vertical rectangular strip or a thin horizontal rectangular strip. And the elemental area ΔA becomes
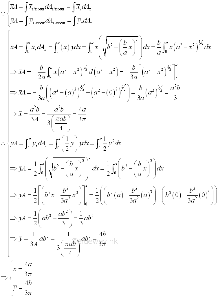
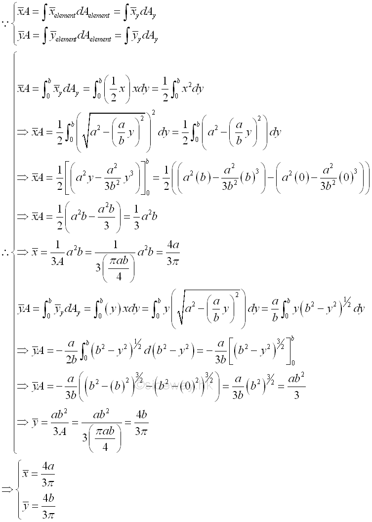
Considering the thin rectangular strip as the elemental area, the centroid of the planar region can be determined by a single integration through sweeping the elemental centroid of the elemental area strip along either rectangular coordinate axis accordingly. Imply By sweeping the centroid of horizontal strip along y axis vertically Centroid of horizontal strip. Imply
Therefore, centroid of the bounded area is
By sweeping the centroid of vertical strip along x axis horizontally Centroid of vertical strip. Imply
Therefore, centroid of the bounded area is
©sideway ID: 120600004 Last Updated: 6/4/2012 Revision: 0 Ref: References
Latest Updated Links
Nu Html Checker 53 na |
![]() Home 5 Business Management HBR 3 Information Recreation Hobbies 9 Culture Chinese 1097 English 339 Travel 44 Reference 79 Hardware 55 Computer Hardware 260 Software Application 213 Digitization 37 Latex 52 Manim 205 KB 1 Numeric 19 Programming Web 289 Unicode 504 HTML 66 CSS 65 SVG 46 ASP.NET 270 OS 431 DeskTop 7 Python 72 Knowledge Mathematics Formulas 8 Set 1 Logic 1 Algebra 84 Number Theory 206 Trigonometry 31 Geometry 34 Calculus 67 Engineering Tables 8 Mechanical Rigid Bodies Statics 92 Dynamics 37 Fluid 5 Control Acoustics 19 Natural Sciences Matter 1 Electric 27 Biology 1 |
Copyright © 2000-2026 Sideway . All rights reserved Disclaimers last modified on 06 September 2019