
TOCForceMomentCoupleSystem of ForcesStatic EquilibriumStructure Analysis Center of Gravity, Center of Mass, & CentroidFirst Moment of Plane Body Draft for Information Only
Content
Centroid of 2D
Plane Body
Centroid of 2D Plane BodyThe centroid of an plate is determined by the first moment of a two dimensional plane body with the method of the first moment of area.
And the centroid of a wire is determined by the first moment of a two dimensional plane body with the method of the first moment of line.
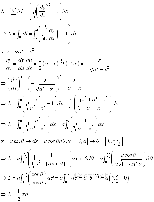
Centroids of LinesCurve Length of Quarter-Circular Arc by Integration
For example, the curve segment bounded by curves in rectangular form , Imply
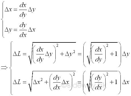
An elemental curve fragment ΔL in rectangular form can be approximated by pythagorean theorem. Imply
By taking the limit, the dimension of the curve element can be expressed as
In general, the length of the curce in a region can be determined by integration through sweeping the curve element along either rectangular coordinate axis. Imply Sweeping along x axis horizontally
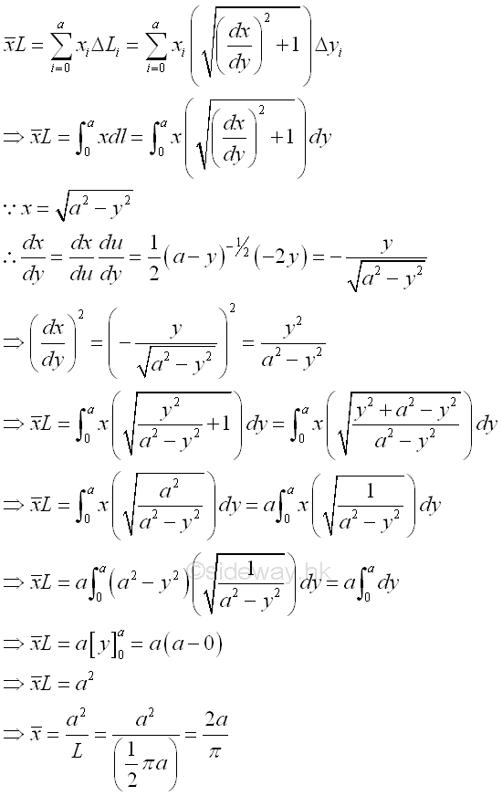
The length of the curce in a region can also be determined by integration through sweeping the curve element along y axis in similar way. Centroid of Quarter-Circular Arc by IntegrationThe centroid of the planar curve can be determined by a single integration through sweeping the elemental centroid of the curve fragment along either rectangular coordinate axis.
Sweeping along y axis vertically The x coordinate of centroid of the planar curve is.
The y coordinate of centroid of the planar curve is.
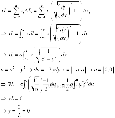
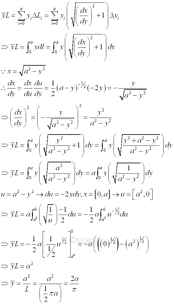
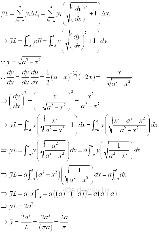
Centroid of Semi-Circular Arc by Integration
For example, the curve segment bounded by curve in rectangular form , Imply
By symmetry, the length of a semi-circular arc is
The centroid of the planar curve can be determined by a single integration through sweeping the elemental centroid of the curve fragment along either rectangular coordinate axis.
Sweeping along x axis horizonatally Coordinate x of centroid by symmetry.
Coordinate x of centroid by integration.
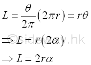
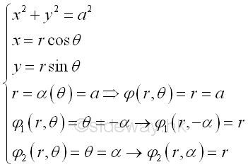
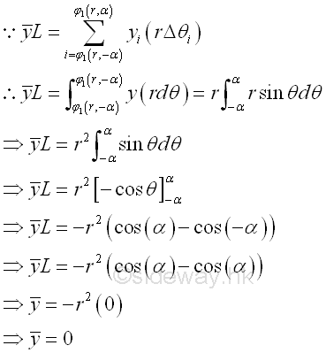
Centroid of Circular Arc by Integration
For example, the curve segment bounded by curve in polar form , Imply
The length of the curve segment
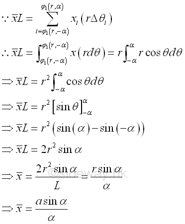
The centroid of the planar curve can be determined by a single integration through sweeping the elemental centroid of the curve fragment along variable angle c circularly.
By sweeping the centroid of circular sector slice along variable angle θ circularly Coordinate x of centroid by integration. Imply
Coordinate y of centroid by symmetry. Imply
©sideway ID: 120600006 Last Updated: 6/7/2012 Revision: 0 Ref: References
Latest Updated Links
Nu Html Checker 53 na |
![]() Home 5 Business Management HBR 3 Information Recreation Hobbies 9 Culture Chinese 1097 English 339 Travel 44 Reference 79 Hardware 55 Computer Hardware 260 Software Application 213 Digitization 37 Latex 52 Manim 205 KB 1 Numeric 19 Programming Web 289 Unicode 504 HTML 66 CSS 65 SVG 46 ASP.NET 270 OS 431 DeskTop 7 Python 72 Knowledge Mathematics Formulas 8 Set 1 Logic 1 Algebra 84 Number Theory 206 Trigonometry 31 Geometry 34 Calculus 67 Engineering Tables 8 Mechanical Rigid Bodies Statics 92 Dynamics 37 Fluid 5 Control Acoustics 19 Natural Sciences Matter 1 Electric 27 Biology 1 |
Copyright © 2000-2026 Sideway . All rights reserved Disclaimers last modified on 06 September 2019