
TrigonometryMore Trigonometric Func.Elements of Trigonometry Law of Sines Draft for Information Only
Content Trigonometry
TrigonometryTrigonometric functions are related with the properties of triangles. Some laws and formulas are also derived to tackle the problems related to triangles, not just right-angled triangles. The Law of Cosines
The law of cosines or cosine rule are related to the cosine functions of angles included in a triangle and the sides of the triangle. The Law of cosines states that for a given arbitrary triangle with angle-side opposite pairs (A,a), (B,b) and (C,c), the square of the side opposite to an angle is equal to the sum of the square of other two sides of the triangle including the angle minus the 2 times the product of the other two sides of the triangle times the cosine function of the included angle. Imply
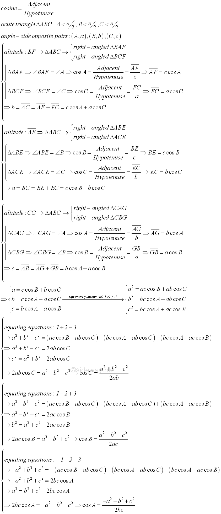
Similar to the law of sines, there are also three cases to be considered in proving the law of cosines for the three different types of angled triangles. The acute angled triangle with all the internal angles are less than π/2. The right angled triangle with one of the internal angles is equal to π/2. The obtuse angled triangle with one of the internal angles is greater than π/2 but less than π. For the first case, an acute triangle ΔABC with angle-side opposite pairs (A,a), (B,b) and (C,c) and all the internal angles less than π/2, three altitudes from vertexes A, B, and C can be constructed to the side opposite of the acute triangle.
Each altitude can divide the side opposite to the vertex of the triangle into two parts accordingly to form two paired right-angled triangle in a similar way. For example, side b of ΔABC is divided by altitude BF drop from vertex B into AF and FC to form two triangles ΔBAF and ΔBCF. According to the definition of cosine function, the line segment AF adjacent of angle ∠BAF will be the adjacent of the right angled triangle ΔBAF and the line segment FC adjacent of angle ∠BCF will be the adjacent of the right angled triangle ΔBCF respectively. That is cos A=AF/c and cos C=FC/a, imply AF=c(cos A) and FC=a(cos C), and therefore b=AC=AF+FC=c(cos A)+a(cos C). Repeating the steps by considering other two altitudes to get another two similar equations. That is c=AB=AG+GB=b(cos A)+a(cos B) and a=BC=BE+EC=c(cos B)+b(cos C). Equating three equations by multiplication and addition then a2=b2+c2-2bc(cos A), b2=a2+c2-2ac(cos B), and c2=a2+b2-2ab(cos C),. Imply
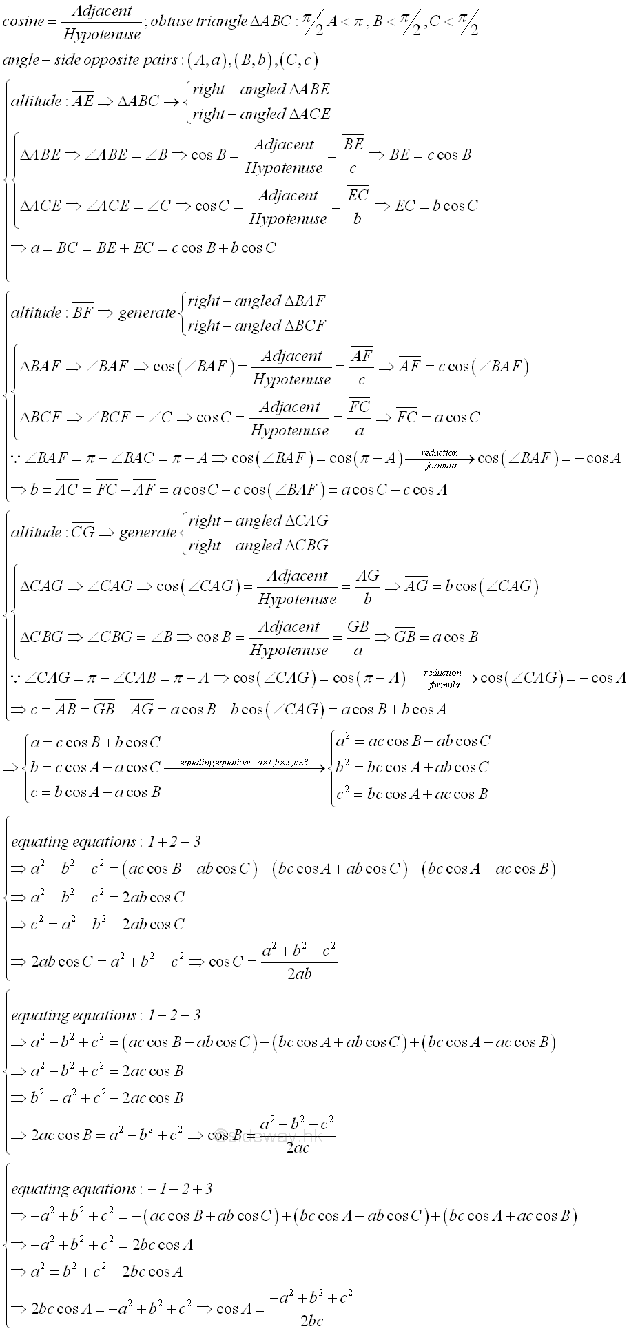
For the second case, an obtuse triangle ΔABC with angle-side opposite pairs (A,a), (B,b) and (C,c) and one of the internal angles, A is greater than π/2 but less than π. Only one of the three altitudes which is drawn from vertex A can be constructed onto the side opposite of the obtuse triangle, while the other two altitudes lie outside the obtuse triangle.
Similarly, ΔABC is divided by altitude AE to form two triangles ΔABE and ΔACE. According to the definition of cosine function, the line segment BE adjacent of angle ∠ABE will be the adjacent of the right angled triangle ΔABE and the line segment EC adjacent of angle ∠ACE will be the adjacent of the right angled triangle ΔACE respectively. That is cos B=BE/c and cos C=EC/b, imply BE=c(cos B) and EC=b(cos C), and therefore a=BC=BE+EC=c(cos B)+b(cos C). Repeating the steps by considering another altitude, BF. Although ΔABC is not divided by altitude BF, the dropping of the altitude from vertix B also forms two new right-angled triangles, ΔBAF and ΔBCF. According to the definition of cosine function, the line segment AF adjacent of angle ∠BAF will be the adjacent of the right angled triangle ΔBAF and the line segment FC adjacent of angle ∠BCF will be the adjacent of the right angled triangle ΔBCF respectively. That is cos(∠BAF)=AF/c and cos C=FC/a, imply AF=c(cos(∠BAF)) and FC=a(cos C), and therefore b=AC=FC-AF=a(cos C)-c(cos(∠BAF)). Since ∠BAF=π-∠BAC==π-A, then cos(∠BAF)=cos(π-A), by reduction formula, cos(∠BAF)=-cos A. And therefore b=AC=FC-AF=a(cos C)+c(cos A) as before. Repeating the steps by considering the last altitude, CG. Although ΔABC is not divided by altitude CG, the dropping of the altitude from vertix C also forms two new right-angled triangles, ΔCAG and ΔCBG. According to the definition of cosine function, the line segment AG adjacent of angle ∠CAG will be the adjacent of the right angled triangle ΔCAG and the line segment GB adjacent of angle ∠CBG will be the adjacent of the right angled triangle ΔCBG respectively. That is cos(∠CAG)=AG/b and cos B=GB/a, imply AG=b(cos(∠CAG)) and GB=a(cos B), and therefore c=AB=GB-AG=a(cos B)-b(cos(∠CAG)). Since ∠CAG=π-∠CAB=π-A, then cos(∠CAG)=cos(π-A), by reduction formula, cos(∠CAG)=-cos A. And therefore c=AB=GB-AG=a(cos B)-b(cos A) as before also. Equating three equations by multiplication and addition then a2=b2+c2-2bc(cos A), b2=a2+c2-2ac(cos B), and c2=a2+b2-2ab(cos C). Imply
For the third case, a right-angled triangle ΔABC with angle-side opposite pairs (A,a), (B,b) and (C,c) and one of the internal angles, A is equal to π/2. Only one of the three altitudes which is drawn from vertex A can be constructed onto the side opposite of the right-angled triangle, while the other two altitudes lie on the sides of the right-angle triangle.
Similarly, ΔABC is divided by altitude AE to form two triangles ΔABE and ΔACE. According to the definition of cosine function, the line segment BE adjacent of angle ∠ABE will be the adjacent of the right angled triangle ΔABE and the line segment EC adjacent of angle ∠ACE will be the adjacent of the right angled triangle ΔACE respectively. That is cos B=BE/c and cos C=EC/b, imply BE=c(cos B) and EC=b(cos C), and therefore a=BC=BE+EC=c(cos B)+b(cos C). Repeating the steps by considering another altitude, for example BF. Although ΔABC is not divided by altitude BF, the dropping of the altitude from vertix B is exactly the side of the right-angled triangle, ΔABC. According to the definition of cosine function, the cosine function of angle ∠BCA or cos C is cos C=b/a, imply b=a(cos C) and the cosine function of angle ∠ABC or cos B is cos B=c/a, imply c=a(cos B). Since cos A = cos π/2 is equal 0, therefore b=a(cos C)+c(cos A) and c=a(cos B)+b(cos A) as before also. Equating three equations by multiplication and addition then a2=b2+c2-2bc(cos A), b2=a2+c2-2ac(cos B), and c2=a2+b2-2ab(cos C). Imply
©sideway ID: 130600015 Last Updated: 6/14/2013 Revision: 1 Ref: References
Latest Updated Links
Nu Html Checker 53 na |
![]() Home 5 Business Management HBR 3 Information Recreation Hobbies 9 Culture Chinese 1097 English 339 Travel 40 Reference 79 Hardware 55 Computer Hardware 260 Software Application 213 Digitization 37 Latex 52 Manim 205 KB 1 Numeric 19 Programming Web 289 Unicode 504 HTML 66 CSS 65 SVG 46 ASP.NET 270 OS 431 DeskTop 7 Python 72 Knowledge Mathematics Formulas 8 Set 1 Logic 1 Algebra 84 Number Theory 206 Trigonometry 31 Geometry 34 Calculus 67 Engineering Tables 8 Mechanical Rigid Bodies Statics 92 Dynamics 37 Fluid 5 Control Acoustics 19 Natural Sciences Matter 1 Electric 27 Biology 1 |
Copyright © 2000-2026 Sideway . All rights reserved Disclaimers last modified on 06 September 2019