
TrigonometryMore Trigonometric Func.Elements of Trigonometry Law of SinesLaw of CosinesLaw of TangentsMollweide's EquationArea of TrianglesTrigonometric FormulasHalf Angle Formulas Draft for Information Only
Content Trigonometry
TrigonometryTrigonometric functions are related with the properties of triangles. Some laws and formulas are also derived to tackle the problems related to triangles, not just right-angled triangles. Radius of Circumcircle
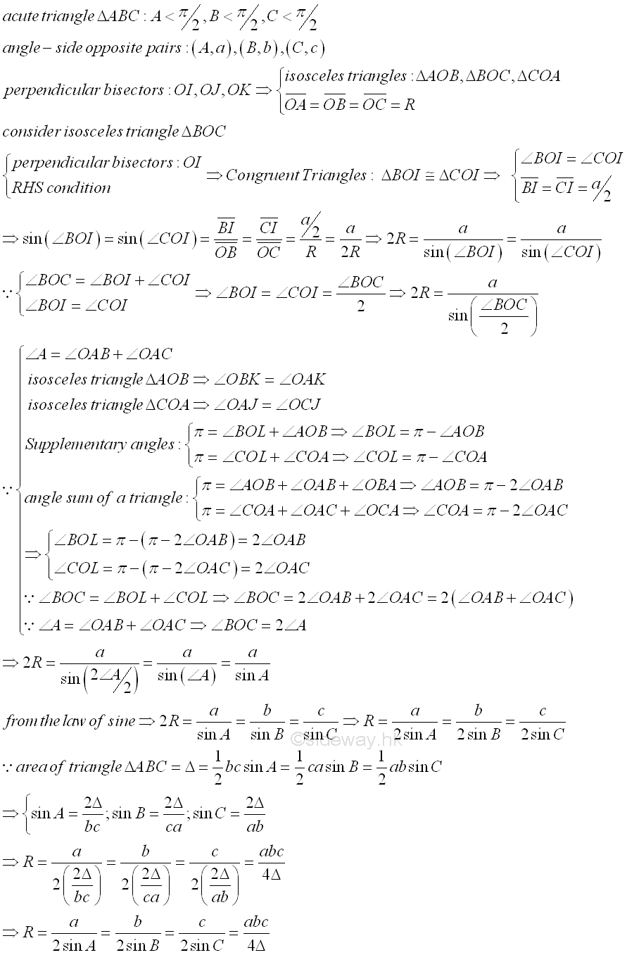
Consider a triangle ΔABC incscrbed in a circle with centre O and radius R, the ratios of the side opposite to an angle to the corresponding sine function of the angle are equal to 2R. Similarly, there are three cases to be considered in proving the ratios are equal to the diameter of the circumcircle for the three different types of angled triangles. The acute angled triangle with all the internal angles are less than π/2. The right angled triangle with one of the internal angles is equal to π/2. The obtuse angled triangle with one of the internal angles is greater than π/2 but less than π. For an acute angled triangle ΔABC incscrbed in a circle with centre O and radius R, three isosceles triangles can be constructed by joining the vertices, A, B, and C to the intersection of the three perpendicular bisectors of the triangle, O with the altitude of each isosceles triangle coninciding with the perpendicular bisector. Imply
Consider isosceles triangle ΔCOB, imply
For an obtuse angled triangle ΔABC incscrbed in a circle with centre O and radius R, three isosceles triangles can be constructed by joining the vertices, A, B, and C to the intersection of the three perpendicular bisectors of the triangle, O with the altitude of each isosceles triangle coninciding with the perpendicular bisector. Imply
Consider isosceles triangle ΔCOB, imply
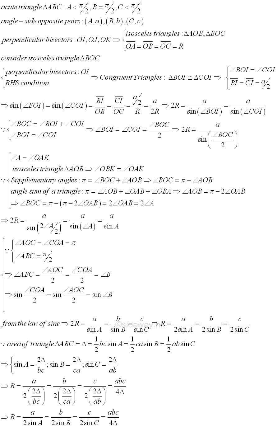
For an right angled triangle ΔABC incscrbed in a circle with centre O and radius R, two isosceles triangles can be constructed by joining the vertices, B to the intersection of the three perpendicular bisectors of the triangle, O with the altitude of each isosceles triangle coninciding with the perpendicular bisector. Imply
Consider isosceles triangle ΔCOB, imply
©sideway ID: 130600033 Last Updated: 6/26/2013 Revision: 0 Ref: References
Latest Updated Links
Nu Html Checker 53 na |
![]() Home 5 Business Management HBR 3 Information Recreation Hobbies 9 Culture Chinese 1097 English 339 Travel 40 Reference 79 Hardware 55 Computer Hardware 260 Software Application 213 Digitization 37 Latex 52 Manim 205 KB 1 Numeric 19 Programming Web 289 Unicode 504 HTML 66 CSS 65 SVG 46 ASP.NET 270 OS 431 DeskTop 7 Python 72 Knowledge Mathematics Formulas 8 Set 1 Logic 1 Algebra 84 Number Theory 206 Trigonometry 31 Geometry 34 Calculus 67 Engineering Tables 8 Mechanical Rigid Bodies Statics 92 Dynamics 37 Fluid 5 Control Acoustics 19 Natural Sciences Matter 1 Electric 27 Biology 1 |
Copyright © 2000-2026 Sideway . All rights reserved Disclaimers last modified on 06 September 2019