
TrigonometryMore Trigonometric Func.Elements of Trigonometry Law of SinesLaw of CosinesLaw of TangentsMollweide's EquationArea of TrianglesTrigonometric Formulas Draft for Information Only
Content Trigonometry
TrigonometryTrigonometric functions are related with the properties of triangles. Some laws and formulas are also derived to tackle the problems related to triangles, not just right-angled triangles. Half Angle Formulas
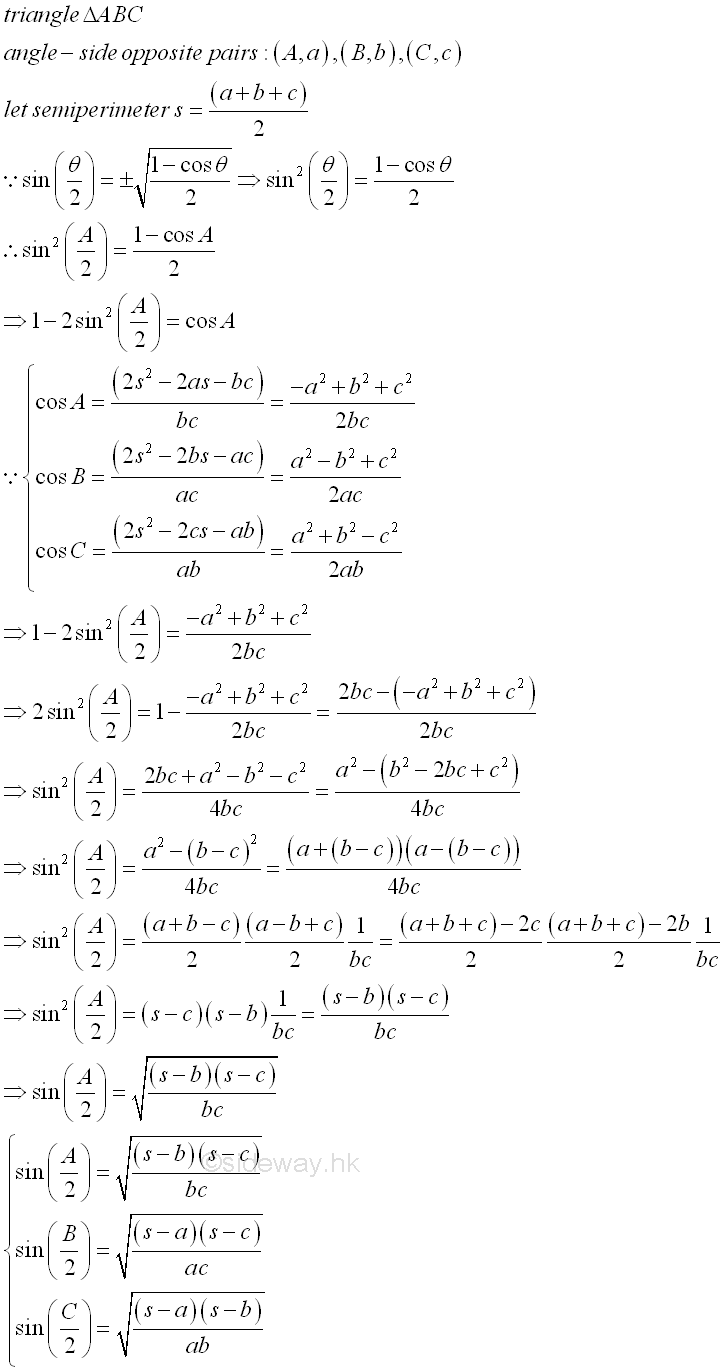
With the introduction of the semiperimeter concept, the half angle identities of trigonometric functions can also be expressed in term of the semi-perimeter of a triangle or sides of a triangle. The half angle formula for the sine funcion of an internal angle of a triangle can be obtained from the half angle identities of sine function by substituting the result of cosine function formula. Imply
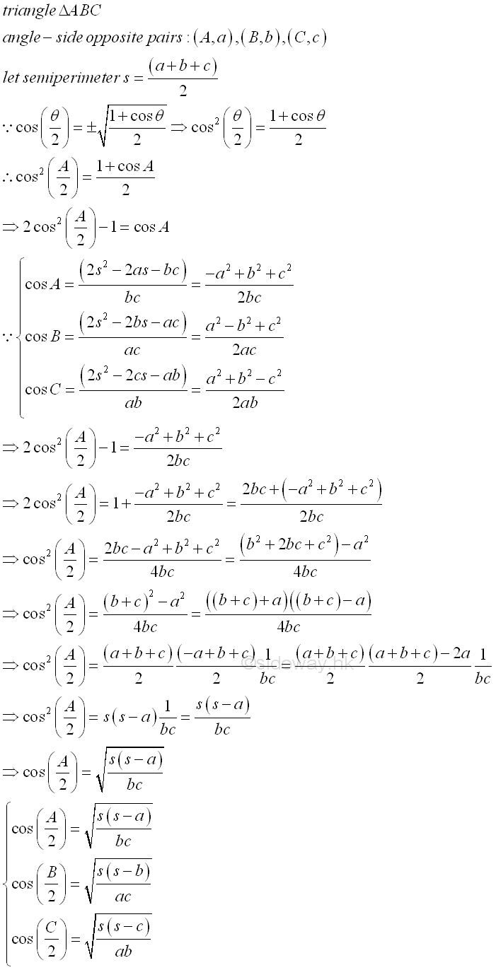
The half angle formula for the cosine funcion of an internal angle of a triangle can be obtained from the half angle identities of cosine function by substituting the result of cosine function formula. Imply
The half angle formula for the tangent funcion of an internal angle of a triangle can be obtained from the half angle identities of tangent function by substituting the result of cosine function formula or from the half angle formula for sine and cosine functions directly. Imply
©sideway ID: 130600025 Last Updated: 6/21/2013 Revision: 0 Ref: References
Latest Updated Links
Nu Html Checker 53 na |
![]() Home 5 Business Management HBR 3 Information Recreation Hobbies 9 Culture Chinese 1097 English 339 Travel 40 Reference 79 Hardware 55 Computer Hardware 260 Software Application 213 Digitization 37 Latex 52 Manim 205 KB 1 Numeric 19 Programming Web 289 Unicode 504 HTML 66 CSS 65 SVG 46 ASP.NET 270 OS 431 DeskTop 7 Python 72 Knowledge Mathematics Formulas 8 Set 1 Logic 1 Algebra 84 Number Theory 206 Trigonometry 31 Geometry 34 Calculus 67 Engineering Tables 8 Mechanical Rigid Bodies Statics 92 Dynamics 37 Fluid 5 Control Acoustics 19 Natural Sciences Matter 1 Electric 27 Biology 1 |
Copyright © 2000-2026 Sideway . All rights reserved Disclaimers last modified on 06 September 2019